精英家教网 > 初中数学 > 题目详情
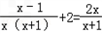
解方程:
解:原方程化为:
方程两边同时乘以x(x+1),得x﹣1+2x(x+1)=2x2
化简得3x﹣1+2x2=2x2
解得x=
检验:当x=时,x(x+1)≠0
∴原方程的解是x=
练习册系列答案
相关习题

科目:初中数学 来源: 题型:

17、解方程x2-|x|-2=0,
解:1.当x≥0时,原方程化为x2-x-2=0,解得:x1=2,x2=-1[不合题意,舍去].
2.当x<o时,原方程化为:x2+x-2=0,解得:x1=1,(不合题意,舍去)x2=-2.所以原方程的根为:x1=2,x2=-2
请参照例题解方程:x2-|x-1|-1=0

查看答案和解析>>

科目:初中数学 来源: 题型:

(1)解方程:4(x-1)=1-x
(2)解方程:
x+1
2
-
2-3x
3
=1

查看答案和解析>>

科目:初中数学 来源: 题型:

解方程:
x-
x-1
2
=
2
3
-
x+2
3

解:去分母,得6x-3x+1=4-2x+4…①
即-3x+1=-2x+8…②
移项,得-3x+2x=8-1…③
合并同类项,得-x=7…④
∴x=-7…⑤
上述解方程的过程中,是否有错误?答:
 
;如果有错误,则错在
 
步.如果上述解方程有错误,请你给出正确的解题过程.

查看答案和解析>>

科目:初中数学 来源: 题型:

计算与解方程:
(1)
3-x
2x-4
÷(x+2-
5
x-2
)

(2)
x
x-y
y2
x+y
-
x4y
x4-y4
÷
x2
x2+y2

(3)
5
2x+3
=
3
x-1

(4)
x
x+2
-
x+2
x-2
=
8
x2-4

查看答案和解析>>

科目:初中数学 来源: 题型:

计算下列各题:
(1)先化简再求值:
x2+x
x
÷(x+1)+
x2-x-2
x-2
,(其中x=-3).
(2)解方程
1
x+1
+
2
x-1
=
4
x2-1

查看答案和解析>>

同步练习册答案