精英家教网 > 初中数学 > 题目详情

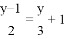
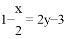
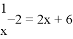
已知方程解是,则直线的交点是( )

A. (1,0) B. (1,3) C. (-1,-1) D. (-1,5)

练习册系列答案
相关习题

科目:初中数学 来源:四川省巴中市南江县2016-2017学年七年级下学期期末考试数学试卷 题型:单选题

下列各式中是一元一次方程的是( )

A. B. C. D.

查看答案和解析>>

科目:初中数学 来源:吉林省2016-2017学年七年级下学期第二次月考数学试卷 题型:填空题

不等式的解集是_____________.

查看答案和解析>>

科目:初中数学 来源:四川省外国语实验学校2016-2017学年八年级下学期第二学段考试数学A卷试卷 题型:填空题

如图,在矩形ABCD中,点E、F分别在AB、DC上,BF∥DE,若AD=12cm,AB=7cm,且AE:EB=5:2,则阴影部分的面积为_______

查看答案和解析>>

科目:初中数学 来源:四川省外国语实验学校2016-2017学年八年级下学期第二学段考试数学A卷试卷 题型:选择题

四边形ABCD中,对角线AC、BD相交于点O,给出下列四个条件:①AD∥BC;②AD=BC;③OA=OC;④OB=OD,从中任选两个条件,能使四边形ABCD为平行四边形的选法有( ).

A.3种 B.4种 C.5种 D.6种

查看答案和解析>>

科目:初中数学 来源:四川省外国语实验学校2016-2017学年八年级下学期第二学段考试数学A卷试卷 题型:单选题

将分式方程去分母,得到正确的整式方程是( )

A. B. C. D.

查看答案和解析>>

科目:初中数学 来源:河北省保定市高阳县2016-2017学年八年级下学期期末考试数学试卷 题型:解答题

某市政府为了增强城镇居民抵御大病风险的能力,积极完善城镇居民医疗保险制度,纳入医疗保险的居民,大病住院医疗费用的报销比例标准如下表:

设享受医保的某居民一年的大病住院医疗费用为x元,按上述标准报销的金额为 y元.

(1)直接写出x≤50000时,y关于x的函数关系式,并注明自变量x的取值范围;

(2)若某居民大病住院医疗费用按标准报销了20000元,问他住院医疗费用是多少元?

查看答案和解析>>

科目:初中数学 来源:河北省保定市高阳县2016-2017学年八年级下学期期末考试数学试卷 题型:单选题

关于□ABCD的叙述,正确的是()

A. 若AB⊥BC,则□ABCD 是菱形; B. 若AC⊥BD,则□ABCD 是正方形;

C. 若AC=BD,则□ABCD 是矩形; D. 若AB=AD,则□ABCD 是正方形;

查看答案和解析>>

科目:初中数学 来源:河北省秦皇岛市2016-2017学年七年级下学期期末考试数学试卷 题型:解答题

计算:

查看答案和解析>>

同步练习册答案