精英家教网 > 初中数学 > 题目详情

将分式方程去分母,得到正确的整式方程是( )

A. B. C. D.

练习册系列答案
相关习题

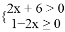
科目:初中数学 来源:江苏省盐城市2015-2016学年七年级下学期期末考试数学试卷 题型:解答题

解下列不等式(组),并把解集在数轴上表示出来:

(1);(2)

查看答案和解析>>

科目:初中数学 来源:吉林省2016-2017学年七年级下学期第二次月考数学试卷 题型:单选题

在不等式的解集中,正整数解的个数是( )

A. 4 B. 5 C. 6 D. 7

查看答案和解析>>

科目:初中数学 来源:四川省外国语实验学校2016-2017学年八年级下学期第二学段考试数学A卷试卷 题型:单选题

如图,在直角三角形ABC中,CD是斜边AB上的中线 ,若∠A=20°,则∠BDC=( )

A. 30° B. 40° C. 45° D. 60°

查看答案和解析>>

科目:初中数学 来源:四川省外国语实验学校2016-2017学年八年级下学期第二学段考试数学A卷试卷 题型:单选题

已知方程解是,则直线的交点是( )

A. (1,0) B. (1,3) C. (-1,-1) D. (-1,5)

查看答案和解析>>

科目:初中数学 来源:四川省外国语实验学校2016-2017学年八年级下学期第二学段考试数学A卷试卷 题型:单选题

下列变量之间的关系中,是函数关系的是 ( )

A. 人的体重与年龄 B. 正方形的周长与边长

C. 长方形的面积与长 D. y=±中,y与x

查看答案和解析>>

科目:初中数学 来源:河北省保定市高阳县2016-2017学年八年级下学期期末考试数学试卷 题型:解答题

计算(1) (2)

查看答案和解析>>

科目:初中数学 来源:河北省保定市高阳县2016-2017学年八年级下学期期末考试数学试卷 题型:单选题

下列函数经过一、二、四象限的是( )

A. B. C. D.

查看答案和解析>>

科目:初中数学 来源:河北省秦皇岛市2016-2017学年七年级下学期期末考试数学试卷 题型:填空题

将一个长方形纸条按图所示折叠一下,若∠1=140º,则∠2=______.

查看答案和解析>>

同步练习册答案