精英家教网 > 初中数学 > 题目详情

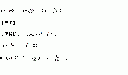
在实数范围内因式分【解析】
x5﹣4x=

练习册系列答案
相关习题

科目:初中数学 来源:2017年初中毕业升学考试(河南卷)数学(解析版) 题型:选择题

如图,将半径为2,圆心角为的扇形绕点逆时针旋转,点的对应点分别为,连接,则图中阴影部分的面积是( )

A. B. C. D.

查看答案和解析>>

科目:初中数学 来源:2017年初中毕业升学考试(海南卷)数学(解析版) 题型:解答题

计算;

(1)﹣|﹣3|+(﹣4)×2﹣1;

(2)(x+1)2+x(x﹣2)﹣(x+1)(x﹣1)

查看答案和解析>>

科目:初中数学 来源:2017年初中毕业升学考试(海南卷)数学(解析版) 题型:选择题

2017的相反数是( )

A.﹣2017 B.2017 C. D.

查看答案和解析>>

科目:初中数学 来源:2017年初中毕业升学考试(贵州黔东南州卷)数学(解析版) 题型:解答题

先化简,再求值:,其中x=+1.

查看答案和解析>>

科目:初中数学 来源:2017年初中毕业升学考试(贵州黔东南州卷)数学(解析版) 题型:选择题

如图,正方形ABCD中,E为AB中点,FE⊥AB,AF=2AE,FC交BD于O,则∠DOC的度数为( )

A.60° B.67.5° C.75° D.54°

查看答案和解析>>

科目:初中数学 来源:2017年初中毕业升学考试(贵州黔东南州卷)数学(解析版) 题型:选择题

|﹣2|的值是( )

A.﹣2 B.2 C.﹣ D.

查看答案和解析>>

科目:初中数学 来源:2017年初中毕业升学考试(贵州安顺卷)数学(解析版) 题型:选择题

二次函数y=ax2+bx+c(≠0)的图象如图,给出下列四个结论:①4ac﹣b2<0;②3b+2c<0;③4a+c<2b;④m(am+b)+b<a(m≠1),其中结论正确的个数是( )

A.1 B.2 C.3 D.4

查看答案和解析>>

科目:初中数学 来源:2017年初中毕业升学考试(黑龙江绥化卷)数学(解析版) 题型:解答题

如图,为某公园的三个景点,景点和景点之间有一条笔直的小路,现要在小路上建一个凉亭,使景点、景点到凉亭的距离之和等于景点到景点的距离.请用直尺和圆规在所给的图中作出点.(不写作法和证明,只保留作图痕迹)

查看答案和解析>>

同步练习册答案