精英家教网 > 初中数学 > 题目详情
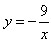
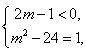
若反比例函数的图象经过第二、四象限,求函数的解析式。
解:由题意,得
解得 m=-5,
练习册系列答案
相关习题

科目:初中数学 来源:2012-2013学年浙教版九年级(上)期中数学试卷(2)(解析版) 题型:选择题

若反比例函数的图象经过点(m,3m),其中m≠0,则此反比例函数图象经过( )
A.第一、三象限
B.第一、二象限
C.第二、四象限
D.第三、四象限

查看答案和解析>>

科目:初中数学 来源:2011-2012学年浙江省金华市东阳外国语学校九年级(上)期中数学试卷(解析版) 题型:选择题

若反比例函数的图象经过点(m,3m),其中m≠0,则此反比例函数图象经过( )
A.第一、三象限
B.第一、二象限
C.第二、四象限
D.第三、四象限

查看答案和解析>>

科目:初中数学 来源:2013年4月中考数学模拟试卷(33)(解析版) 题型:选择题

若反比例函数的图象经过点(m,3m),其中m≠0,则此反比例函数图象经过( )
A.第一、三象限
B.第一、二象限
C.第二、四象限
D.第三、四象限

查看答案和解析>>

科目:初中数学 来源:2012年内蒙古巴彦淖尔市五原三中中考数学模拟试卷(一)(解析版) 题型:选择题

若反比例函数的图象经过点(m,3m),其中m≠0,则此反比例函数图象经过( )
A.第一、三象限
B.第一、二象限
C.第二、四象限
D.第三、四象限

查看答案和解析>>

科目:初中数学 来源:2010年高级中等学校招生全国统一考试数学卷(江苏南京) 题型:填空题

若反比例函数的图象经过点(-2,-1),则这个函数的图象位于第_____象限.

查看答案和解析>>

同步练习册答案