精英家教网 > 初中数学 > 题目详情

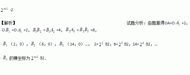
如图,在平面直角坐标系中,直线l:y=x+2交x轴于点A,交y轴于点A1,点A2,A3,…在直线l上,点B1,B2,B3,…在x轴的正半轴上,若△A1OB1,△A2B1B2,△A3B2B3,…,依次均为等腰直角三角形,直角顶点都在x轴上,则第n个等腰直角三角形AnBn﹣1Bn顶点Bn的横坐标为

练习册系列答案
相关习题

科目:初中数学 来源:广西北海市2016-2017学年八年级下学期期末考试数学试卷 题型:解答题

如图,在边长为1的小正方形网格中,△AOB的顶点均在格点上.

(1)B点关于y轴的对称点的坐标为

(2)将△AOB向左平移3个单位长度得到△A1O1B1,请画出△A1O1B1;

(3)在(2)平移过程中,线段OA所扫过的面积为 .

查看答案和解析>>

科目:初中数学 来源:天津市 2017年九年级数学中考模拟试卷(含答案) 题型:填空题

下列“慢行通过,注意危险,禁止行人通行,禁止非机动车通行”四个交通标志图(黑白阴影图片)中为轴对称图形的是( )

A. B. C. D.

查看答案和解析>>

科目:初中数学 来源:安徽合肥市 2017年九年级数学中考模拟试卷(含答案) 题型:单选题

在半径为6cm的圆中,长为6cm的弦所对的圆周角的度数为( )

A. 30° B. 60° C. 30°或150° D. 60°或120°

查看答案和解析>>

科目:初中数学 来源:安徽合肥市 2017年九年级数学中考模拟试卷(含答案) 题型:单选题

计算:21-1=1,22-1=3,23-1=7,24-1=15,25-1=31,归纳各计算结果中的个位数字规律,猜测22014-1=3的个位数字是( )

A. 1 B. 3 C. 7 D. 5

查看答案和解析>>

科目:初中数学 来源:福建省2017届中考数学专题复习测试卷:规律探索 题型:填空题

我国南宋数学家杨辉用三角形解释二项和的乘方规律,称之为“杨辉三角”.这个三角形给出了(a+b)n(n=1,2,3,4…)的展开式的系数规律(按a的次数由大到小的顺序):

请依据上述规律,写出(x﹣)2016展开式中含x2014项的系数是_________.

查看答案和解析>>

科目:初中数学 来源:福建省2017届中考数学专题复习测试卷:规律探索 题型:单选题

如图,将一张等边三角形纸片沿中位线剪成4个小三角形,称为第一次操作;然后,将其中的一个三角形按同样方式再剪成4个小三角形,共得到7个小三角形,称为第二次操作;再将其中一个三角形按同样方式再剪成4个小三角形,共得到10个小三角形,称为第三次操作;…根据以上操作,若要得到100个小三角形,则需要操作的次数是(  )

A. 25 B. 33 C. 34 D. 50

查看答案和解析>>

科目:初中数学 来源:湖北省孝昌县2015-2016学年度下学期期末质量检测七年级数学试卷 题型:单选题

已知,则=( )

A. B. C. 1 D.

查看答案和解析>>

科目:初中数学 来源:四川省自贡市校2016-2017学年八年级下学期期中考试数学试卷 题型:单选题

在式子中,二次根式有( )

A. 2个 B. 3个 C. 4个 D. 5个

查看答案和解析>>

同步练习册答案