精英家教网 > 初中数学 > 题目详情
如图,已知⊙O的半径为8 cm,点A为半径OB的延长线上一点,射线AC切⊙O于点C,弧BC的长为cm,求线段AB的长。
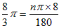
解:设∠AOC=n°,
∵BC的长为

解得n=60°。
∵AC为⊙O的切线,
∴△AOC为直角三角形,
∴OA=2OC=16cm,
∴AB=OA-OB=8cm。
练习册系列答案
相关习题

科目:初中数学 来源: 题型:

如图,已知⊙O的半径为6cm,射线PM经过点O,OP=10cm,射线PN与⊙O相切于点Q.A,B两点同时从点精英家教网P出发,点A以5cm/s的速度沿射线PM方向运动,点B以4cm/s的速度沿射线PN方向运动.设运动时间为ts.
(1)求PQ的长;
(2)当t为何值时,直线AB与⊙O相切?

查看答案和解析>>

科目:初中数学 来源: 题型:

精英家教网如图,已知⊙O的半径为1,锐角△ABC内接于⊙O,作BD⊥AC于点D,OM⊥AB于点M.sin∠CBD=
13
.则OM=
 

查看答案和解析>>

科目:初中数学 来源: 题型:

精英家教网如图,已知⊙O的半径为5,锐角△ABC内接于⊙O,弦AB=8,BD⊥AC于点D,OM⊥AB于点M,则sin∠CBD的值等于(  )
A、0.6B、0.8C、0.5D、1.2

查看答案和解析>>

科目:初中数学 来源: 题型:

(2013•新疆)如图,已知⊙O的半径为4,CD是⊙O的直径,AC为⊙O的弦,B为CD延长线上的一点,∠ABC=30°,且AB=AC.
(1)求证:AB为⊙O的切线;
(2)求弦AC的长;
(3)求图中阴影部分的面积.

查看答案和解析>>

科目:初中数学 来源: 题型:

精英家教网如图,已知⊙O的半径为5,两弦AB、CD相交于AB中点E,且AB=8,CE:ED=4:9,则圆心到弦CD的距离为(  )
A、
2
14
3
B、
28
9
C、
2
7
3
D、
80
9

查看答案和解析>>

同步练习册答案