精英家教网 > 初中数学 > 题目详情
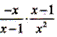
先化简,再选择你喜欢的一个x的值代入求值.
解:原式=
              =
              =
    ,其它实数均可,如x=2,则原式=
练习册系列答案
相关习题

科目:初中数学 来源: 题型:

先化简,再选择你喜欢的又使原式有意义的一个x的值代入求值.(
1
x-1
+
x+1
1-x
)÷(x+
x
x-1
)

查看答案和解析>>

科目:初中数学 来源: 题型:

先化简,再选择你喜欢的一个数字,代入求值:
x3
x-3
-
9x
x-3

查看答案和解析>>

科目:初中数学 来源: 题型:

(1)先化简,再选择你喜欢的又使原式有意义的一个x的值代入求值.
1
x-1
+
x+1
1-x
)÷(x+
x
x-1

(2)解方程:
1
x-2
+
1
x+2
=
3
(x+2)(x-2)

查看答案和解析>>

科目:初中数学 来源: 题型:

先化简,再选择你喜欢的数代入求值:(
m+2
m2-2m
-
m-1
m2-4m+4
)÷
m-4
m

查看答案和解析>>

科目:初中数学 来源: 题型:

 先化简,再选择你喜欢的数代入求值(6分)

   

 

查看答案和解析>>

同步练习册答案