精英家教网 > 初中数学 > 题目详情
把一副扑克牌中的3张黑桃牌(它们的正面牌面数字分别是3、4、5)洗匀后正面朝下放在桌面上.
(1)如果从中随机抽取一张牌,那么牌面数字是4的概率是多少?
(2)小王和小李玩摸牌游戏,游戏规则如下:先由小王随机抽出一张牌,记下牌面数字后放回,洗匀后正面朝下,再由小李随机抽出一张牌,记下牌面数字.当2张牌面数字相同时,小王赢;当2张牌面数字不相同时,小李赢.现请你利用树状图或列表法分析游戏规则对双方是否公平?并说明理由.

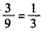
解:(1)P(抽到牌面数字是4)=
       (2)游戏规则对双方不公平,
               理由如下:
              

         有表格知:所有可能出现的结果共有9种,
         P(抽到牌面数字相同)=
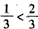
         P(抽到牌面数字不相同)=
        ∵      ∴此游戏不公平,小李赢的可能性大。

练习册系列答案
相关习题

科目:初中数学 来源: 题型:

把一副扑克牌中的3张黑桃牌(它们的正面牌面数字分别是3、4、5)洗匀后正面朝下放在桌面上.
(1)如果从中随机抽取一张牌,那么牌面数字是4的概率是多少?
(2)小王和小李玩摸牌游戏,游戏规则如下:先由小王随机抽出一张牌,记下牌面数字后放回,洗匀后正面朝下,再由小李随机抽出一张牌,记下牌面数字.当2张牌面数字相同时,小王赢;当2张牌面数字不相同时,小李赢.现请你利用树状图或列表法分析游戏规则对双方是否公平?并说明理由.

查看答案和解析>>

科目:初中数学 来源:2013年辽宁省盘锦市中考模拟(二)数学试卷(带解析) 题型:解答题

把一副扑克牌中的3张黑桃牌(它们的正面牌面数字分别是3、4、5、)洗匀后正面朝下放在桌面上。
(1)如果从中抽取一张牌,那么牌面数字是4的概率是多少?
(2)小王和小李玩摸牌游戏,游戏规则如下:先由小王随机抽出一张牌,记下牌面数字后放回,洗匀后正面朝下,再由小李随机抽出一张牌,记下牌面数字。当2张牌面数字相同时,小王赢;当2张牌面数字不相同时,小李赢。现请你利用数状图或列表法分析游戏规则对双方是否公平?并说明理由。

查看答案和解析>>

科目:初中数学 来源:2013-2014学年初中数学湘教版九年级上册第5章练习卷(解析版) 题型:解答题

把一副扑克牌中的三张黑桃牌(它们的正面牌数字分别为3、4、5)洗匀后正面朝下放在桌面上.小王和小李玩摸牌游戏,游戏规则如下:先由小王随机抽取一张牌,记下牌面数字后放回,洗匀后正面朝下,再由小李随机抽取一张牌,记下牌面数字.当两张牌的牌面数字相同时,小王赢;当两张牌的牌面数字不同时,小李赢.现请你利用树状图或列表法分析游戏规则对双方是否公平,并说明理由.

 

查看答案和解析>>

科目:初中数学 来源:2013年辽宁省盘锦市中考模拟(二)数学试卷(解析版) 题型:解答题

把一副扑克牌中的3张黑桃牌(它们的正面牌面数字分别是3、4、5、)洗匀后正面朝下放在桌面上。

(1)如果从中抽取一张牌,那么牌面数字是4的概率是多少?

(2)小王和小李玩摸牌游戏,游戏规则如下:先由小王随机抽出一张牌,记下牌面数字后放回,洗匀后正面朝下,再由小李随机抽出一张牌,记下牌面数字。当2张牌面数字相同时,小王赢;当2张牌面数字不相同时,小李赢。现请你利用数状图或列表法分析游戏规则对双方是否公平?并说明理由。

 

查看答案和解析>>

科目:初中数学 来源:2012年云南省大理州某校中考数学模拟试卷(二)(解析版) 题型:解答题

把一副扑克牌中的3张黑桃牌(它们的正面牌面数字分别是3、4、5)洗匀后正面朝下放在桌面上.
(1)如果从中随机抽取一张牌,那么牌面数字是4的概率是多少?
(2)小王和小李玩摸牌游戏,游戏规则如下:先由小王随机抽出一张牌,记下牌面数字后放回,洗匀后正面朝下,再由小李随机抽出一张牌,记下牌面数字.当2张牌面数字相同时,小王赢;当2张牌面数字不相同时,小李赢.现请你利用树状图或列表法分析游戏规则对双方是否公平?并说明理由.

查看答案和解析>>

同步练习册答案