精英家教网 > 初中数学 > 题目详情

25的算术平方根是( )

A. B. 5 C. -5 D. ±5

练习册系列答案
相关习题

科目:初中数学 来源:江苏省九年级数学下册 6.3相似图形 专题练习含答案 题型:单选题

如图,已知a∥b∥c,直线m分别交直线a,b,c于点A,B,C,直线n分别交直线a,b,c于点D,E,F.若,则的值是( )

A. B. C. D. 1

查看答案和解析>>

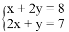
科目:初中数学 来源:重庆市校2016-2017学年七年级下学期第三次月考数学试卷 题型:选择题

已知x、y满足方程组,则x-y的值是( )

A. -1 B. 0 C. 1 D. 2

查看答案和解析>>

科目:初中数学 来源:甘肃省定西市临洮县2016-2017学年七年级下学期期中考试数学试卷 题型:填空题

已知|x+2|+=0,则P(x,y)在第_____________象限.

查看答案和解析>>

科目:初中数学 来源:甘肃省定西市临洮县2016-2017学年七年级下学期期中考试数学试卷 题型:单选题

如图,把一块含有45°角的直角三角板的两个顶点放在直尺的对边上,如果∠1=20°,那么∠2等于( )

A. 30° B. 25° C. 20° D. 15°

查看答案和解析>>

科目:初中数学 来源:广西南宁市马山县2016-2017学年七年级(下)期中数学试卷 题型:解答题

根据语句画图,并回答问题,如图,∠AOB内有一点P.

(1)过点P画PC∥OB交OA于点C,画PD∥OA交OB于点D.

(2)写出图中与∠CPD互补的角   .(写两个即可)

(3)写出图中∠O相等的角   .(写两个即可)

查看答案和解析>>

科目:初中数学 来源:广西南宁市马山县2016-2017学年七年级(下)期中数学试卷 题型:填空题

﹣8的立方根是_____,36的平方根是_____.

查看答案和解析>>

科目:初中数学 来源:2017年江苏省徐州市中考数学模拟试卷(一) 题型:解答题

我们知道对于x轴上的任意两点A(x1,0),B(x2,0),有AB=|x1﹣x2|,而对于平面直角坐标系中的任意两点P1(x1,y1),P2(x2,y2),我们把|x1﹣x2|+|y1﹣y2|称为Pl,P2两点间的直角距离,记作d(P1,P2),即d(P1,P2)=|x1﹣x2|+|y1﹣y2|.

(1)已知O为坐标原点,若点P坐标为(1,3),则d(O,P)=   

(2)已知O为坐标原点,动点P(x,y)满足d(O,P)=2,请写出x与y之间满足的关系式,并在所给的直角坐标系中画出所有符合条件的点P所组成的图形;

(3)试求点M(2,3)到直线y=x+2的最小直角距离.

查看答案和解析>>

科目:初中数学 来源:河南省永城市2016-2017学年七年级下学期期末考试数学试卷(WORD版) 题型:单选题

如图,不等式组的解集在数轴上表示正确的是(  )

A. B.

C. D.

查看答案和解析>>

同步练习册答案