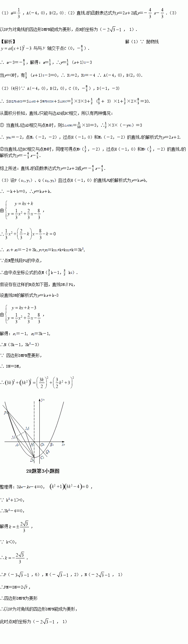
Èçͼ£¬ÔÚÆ½ÃæÖ±½Ç×ø±êϵ
ÖУ¬Å×ÎïÏß
Óë
Öá½»ÓÚA¡¢BÁ½µã£¨µãAÔÚµãB×ó²à£©£¬Óë
Öá½»ÓÚµãC£¨0£¬
£©£¬¶¥µãΪD£¬¶Ô³ÆÖáÓë
Öá½»ÓÚµãH.¹ýµãHµÄÖ±Ïßl½»Å×ÎïÏßÓÚP£¬QÁ½µã£¬µãQÔÚyÖáÓÒ²à.
(1)ÇóaµÄÖµ¼°µãA¡¢BµÄ×ø±ê£»
(2)µ±Ö±Ïßl½«ËıßÐÎABCD·ÖÎªÃæ»ý±ÈΪ3£º7µÄÁ½²¿·Öʱ£¬ÇóÖ±ÏßlµÄº¯Êý±í´ïʽ£»
(3)µ±µãPλÓÚµÚ¶þÏóÏÞʱ£¬ÉèPQµÄÖеãΪM£¬µãNÔÚÅ×ÎïÏßÉÏ£¬ÔòÒÔDPΪ¶Ô½ÇÏßµÄËıßÐÎDMPNÄÜ·ñ³ÉΪÁâÐΣ¿ÈôÄÜ£¬Çó³öµãNµÄ×ø±ê£»Èô²»ÄÜ£¬Çë˵Ã÷ÀíÓÉ£®
![]()
| Äê¼¶ | ¸ßÖÐ¿Î³Ì | Äê¼¶ | ³õÖÐ¿Î³Ì |
| ¸ßÒ» | ¸ßÒ»Ãâ·Ñ¿Î³ÌÍÆ¼ö£¡ | ³õÒ» | ³õÒ»Ãâ·Ñ¿Î³ÌÍÆ¼ö£¡ |
| ¸ß¶þ | ¸ß¶þÃâ·Ñ¿Î³ÌÍÆ¼ö£¡ | ³õ¶þ | ³õ¶þÃâ·Ñ¿Î³ÌÍÆ¼ö£¡ |
| ¸ßÈý | ¸ßÈýÃâ·Ñ¿Î³ÌÍÆ¼ö£¡ | ³õÈý | ³õÈýÃâ·Ñ¿Î³ÌÍÆ¼ö£¡ |
¿ÆÄ¿£º³õÖÐÊýѧ À´Ô´£º2#241196#3#7#6#2017#¹ã¶«Ê¡¶«Ý¸ÊгõÖв¿2017½ìÖп¼¿¼Ç°ÑºÌâÊýѧÊÔ¾í#6#1 ÌâÐÍ£º½â´ðÌâ
ijְҵ¸ßÖлúµç°à¹²ÓÐѧÉú42ÈË£¬ÆäÖÐÄÐÉúÈËÊý±ÈÅ®ÉúÈËÊýµÄ2±¶ÉÙ3ÈË£®
£¨1£©¸Ã°àÄÐÉúºÍÅ®Éú¸÷ÓжàÉÙÈË£¿
£¨2£©Ä³¹¤³§¾ö¶¨µ½¸Ã°àÕм30ÃûѧÉú£¬¾²âÊÔ£¬¸Ã°àÄС¢Å®ÉúÿÌìÄܼӹ¤µÄÁã¼þÊý·Ö±ðΪ50¸öºÍ45¸ö£¬Îª±£Ö¤ËûÃÇÿÌì¼Ó¹¤µÄÁã¼þ×ÜÊý²»ÉÙÓÚ1460¸ö£¬ÄÇôÖÁÉÙÒªÕм¶àÉÙÃûÄÐѧÉú£¿
²é¿´´ð°¸ºÍ½âÎö>>
¿ÆÄ¿£º³õÖÐÊýѧ À´Ô´£º2#241176#2#3#4#2017#ÖØÇìÊÐ2016-2017ѧÄê°ËÄê¼¶6ÔÂÄ£Ä⿼ÊýѧÊÔ¾í#4#1 ÌâÐÍ£ºµ¥Ñ¡Ìâ
ijµØÐèÒª¿ª±ÙÒ»ÌõËíµÀ£¬ËíµÀABµÄ³¤¶ÈÎÞ·¨Ö±½Ó²âÁ¿£®ÈçͼËùʾ£¬ÔÚµØÃæÉÏȡһµãC£¬Ê¹µãC¾ù¿ÉÖ±½Óµ½´ïA£¬BÁ½µã£¬²âÁ¿ÕÒµ½ACºÍBCµÄÖеãD£¬E£¬²âµÃDEµÄ³¤Îª1100m£¬ÔòËíµÀABµÄ³¤¶ÈΪ£¨¡¡¡¡£©
![]()
A. 3300m B. 2200m C. 1100m D. 550m
²é¿´´ð°¸ºÍ½âÎö>>
¿ÆÄ¿£º³õÖÐÊýѧ À´Ô´£º2#241160#3#7#16#2017#½Î÷Ê¡¸ÓÖÝÊÐÌáǰÕÐÉú¿¼ÊÔÊýѧÊÔ¾í#16#1 ÌâÐÍ£º½â´ðÌâ
ÒÔÏß¶ÎACΪ¶Ô½ÇÏßµÄ͹ËıßÐÎABCD£¨ËüµÄËĸö¶¥µãA¡¢B¡¢C¡¢D°´Ë³Ê±Õë·½ÏòÅÅÁУ¬Ã¿¸öÄڽǾùСÓÚ180¡ã£©£¬ÒÑÖªAB=BC=CD£¬¡ÏABC=120¡ã£¬¡ÏCAD=30¡ã£¬Ôò¡ÏBCDµÄ´óСΪ____________£®
²é¿´´ð°¸ºÍ½âÎö>>
¿ÆÄ¿£º³õÖÐÊýѧ À´Ô´£º2#241160#3#7#16#2017#½Î÷Ê¡¸ÓÖÝÊÐÌáǰÕÐÉú¿¼ÊÔÊýѧÊÔ¾í#16#1 ÌâÐÍ£ºµ¥Ñ¡Ìâ
Èçͼ£¬ÔÚ¡÷ABCÖУ¬ADƽ·Ö¡ÏBAC£¬°´Èçϲ½Öè×÷ͼ£º¢Ù·Ö±ðÒÔµãA¡¢DΪԲÐÄ£¬ÒÔ´óÓÚ
ADµÄ³¤Îª°ë¾¶ÔÚADÁ½²à×÷»¡£¬½»ÓÚÁ½µãM¡¢N£»¢ÚÁ¬½ÓMN·Ö±ð½»AB¡¢ACÓÚµãE¡¢F£»¢ÛÁ¬½ÓDE¡¢DF£®ÈôBD=6£¬AF=4£¬CD=3£¬ÔòÏÂÁÐ˵·¨ÖÐÕýÈ·µÄÊÇ£¨ £©
![]()
A. DFƽ·Ö¡ÏADC B. AF=3CF C. BE=8 D. DA=DB
²é¿´´ð°¸ºÍ½âÎö>>
¿ÆÄ¿£º³õÖÐÊýѧ À´Ô´£º2#241073#3#3#14#2017#ËÄ´¨Ê¡2017½ì¾ÅÄê¼¶ÏÂѧÆÚµÚÈý´ÎÔ¿¼ÊýѧÊÔ¾í#14#1 ÌâÐÍ£º½â´ðÌâ
ÒÑÖª
ÊÇ·½³Ì×é
µÄ½â£¬Ôò´úÊýʽ
µÄֵΪ______.
²é¿´´ð°¸ºÍ½âÎö>>
¿ÆÄ¿£º³õÖÐÊýѧ À´Ô´£º2#241073#3#3#14#2017#ËÄ´¨Ê¡2017½ì¾ÅÄê¼¶ÏÂѧÆÚµÚÈý´ÎÔ¿¼ÊýѧÊÔ¾í#14#1 ÌâÐÍ£ºÌî¿ÕÌâ
Èçͼ£¬ÔÚ¾ØÐÎABCDÖУ¬AB=3£¬¶Ô½ÇÏßAC£¬BDÏཻÓÚµãO£¬AE´¹Ö±Æ½·ÖOBÓÚµãE£¬ÔòADµÄ³¤Îª_________£®
![]()
²é¿´´ð°¸ºÍ½âÎö>>
¿ÆÄ¿£º³õÖÐÊýѧ À´Ô´£º2#240953#3#7#6#2017#¹ã¶«Ê¡ºÓÔ´ÊбÏÒµ°àÄ£Ä⿼ÊÔÊýѧÊÔ¾í#6#3 ÌâÐÍ£º½â´ðÌâ
Èçͼ£¬DÊÇ¡÷ABCµÄ±ßABÉÏÒ»µã£¬CN¡ÎAB£¬DN½»ACÓÚµãM£¬ÈôMA=MC£®
£¨1£©ÇóÖ¤£ºCD=AN £»
£¨2£©ÈôAC¡ÍDN£¬¡ÏCAN=30¡ã£¬MN=1£¬ÇóËıßÐÎADCNµÄÃæ»ý£®
![]()
²é¿´´ð°¸ºÍ½âÎö>>
¿ÆÄ¿£º³õÖÐÊýѧ À´Ô´£º2#241266#3#7#17#2017#ÁÉÄþÊ¡´óʯÇÅÊÐ2017½ì¾ÅÄê¼¶Öп¼Ä£ÄâÊýѧÊÔ¾í#17#1 ÌâÐÍ£ºÑ¡ÔñÌâ
Èçͼһ°Ñ´ò¿ªµÄÓêÉ¡¿É½üËÆµÄ¿´³ÉÒ»¸öÔ²×¶£¬É¡¹Ç£¨ÃæÁÏÏ·½Äܹ»°ÑÃæÁÏ³ÅÆðÀ´µÄÖ§¼Ü£©Ä©¶Ë
¸÷µãËùÔÚÔ²µÄÖ±¾¶AC³¤Îª12·ÖÃ×£¬É¡¹ÇAB³¤Îª9·ÖÃ×£¬ÄÇÃ´ÖÆ×÷ÕâÑùµÄÒ»°ÑÓêÉ¡ÖÁÉÙÐèÒª³ñ²¼ÃæÁÏΪ
£¨ £©Æ½·½·ÖÃ×
A. 36
B. 54
C. 27
D. 128![]()
![]()
²é¿´´ð°¸ºÍ½âÎö>>
¹ú¼ÊѧУÓÅÑ¡ - Á·Ï°²áÁбí - ÊÔÌâÁбí
ºþ±±Ê¡»¥ÁªÍøÎ¥·¨ºÍ²»Á¼ÐÅÏ¢¾Ù±¨Æ½Ì¨ | ÍøÉÏÓк¦ÐÅÏ¢¾Ù±¨×¨Çø | µçÐÅթƾٱ¨×¨Çø | ÉæÀúÊ·ÐéÎÞÖ÷ÒåÓк¦ÐÅÏ¢¾Ù±¨×¨Çø | ÉæÆóÇÖȨ¾Ù±¨×¨Çø
Î¥·¨ºÍ²»Á¼ÐÅÏ¢¾Ù±¨µç»°£º027-86699610 ¾Ù±¨ÓÊÏ䣺58377363@163.com