精英家教网 > 初中数学 > 题目详情
已知:如图,在△ABC中,∠B=45°,∠C=60°,AB=6,求BC的长。(结果保留根号)

解:过点A作AD⊥BC于点D
在RtABD中,∠B=45°
∴AD=BD
设AD=x,
又∵AB=6,
∴x2+x2=62,解得x=
即AD=BD=
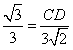
在Rt△ACD中,∠ACD=60°,
∴∠CAD=30°,tan30°=,即,解得CD=
∴BC=BD+DC=+
练习册系列答案
相关习题

科目:初中数学 来源: 题型:

34、已知:如图,在AB、AC上各取一点,E、D,使AE=AD,连接BD,CE,BD与CE交于O,连接AO,∠1=∠2,
求证:∠B=∠C.

查看答案和解析>>

科目:初中数学 来源: 题型:

(2013•启东市一模)已知,如图,在Rt△ABC中,∠C=90°,∠BAC的角平分线AD交BC边于D.
(1)以AB边上一点O为圆心,过A,D两点作⊙O(不写作法,保留作图痕迹),再判断直线BC与⊙O的位置关系,并说明理由;
(2)若(1)中的⊙O与AB边的另一个交点为E,半径为2,AB=6,求线段AD、AE与劣弧DE所围成的图形面积.(结果保留根号和π)《根据2011江苏扬州市中考试题改编》

查看答案和解析>>

科目:初中数学 来源: 题型:

已知:如图,在△ABC中,∠C=120°,边AC的垂直平分线DE与AC、AB分别交于点D和点E.
(1)作出边AC的垂直平分线DE;
(2)当AE=BC时,求∠A的度数.

查看答案和解析>>

科目:初中数学 来源: 题型:解答题

已知:如图,在AB、AC上各取一点E、D,使AE=AD,连接BD,CE,BD与CE交于O,连接AO,∠1=∠2,
求证:∠B=∠C.

查看答案和解析>>

科目:初中数学 来源:专项题 题型:证明题

已知:如图,在AB、AC上各取一点,E、D,使AE=AD,连结BD,CE,BD与CE交于O,连结AO,
           ∠1=∠2;
求证:∠B=∠C

查看答案和解析>>

同步练习册答案