精英家教网 > 初中数学 > 题目详情

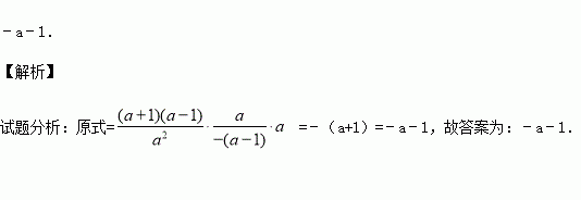
化简:=

练习册系列答案
相关习题

科目:初中数学 来源:2017年初中毕业升学考试(湖南永州卷)数学(解析版) 题型:选择题

如图,在△ABC中,点D是AB边上的一点,若∠ACD=∠B,AD=1,AC=2,△ADC的面积为1,则△BCD的面积为( )

A.1 B.2 C.3 D.4

查看答案和解析>>

科目:初中数学 来源:2017年初中毕业升学考试(湖南怀化卷)数学(解析版) 题型:解答题

计算:.

查看答案和解析>>

科目:初中数学 来源:2017年初中毕业升学考试(内蒙古包头卷)数学(解析版) 题型:解答题

如图,在平面直角坐标系中,已知抛物线与x轴交于A(﹣1,0),B(2,0)两点,与y轴交于点C.

(1)求该抛物线的解析式;

(2)直线y=﹣x+n与该抛物线在第四象限内交于点D,与线段BC交于点E,与x轴交于点F,且BE=4EC.

①求n的值;

②连接AC,CD,线段AC与线段DF交于点G,△AGF与△CGD是否全等?请说明理由;

(3)直线y=m(m>0)与该抛物线的交点为M,N(点M在点N的左侧),点 M关于y轴的对称点为点M',点H的坐标为(1,0).若四边形OM'NH的面积为.求点H到OM'的距离d的值.

查看答案和解析>>

科目:初中数学 来源:2017年初中毕业升学考试(内蒙古包头卷)数学(解析版) 题型:填空题

如图,一次函数y=x-1的图象与反比例函数y=的图象在第一象限相交于点A,与x轴相交于点B,点C在y轴上.若AC=BC,则点C的坐标为________.

查看答案和解析>>

科目:初中数学 来源:2017年初中毕业升学考试(内蒙古包头卷)数学(解析版) 题型:选择题

如图,在△ABC中,AB=AC,∠ABC=45°,以AB为直径的⊙O交BC于点D,若BC=,则图中阴影部分的面积为( )

A.π+1 B.π+2 C.2π+2 D.4π+1

查看答案和解析>>

科目:初中数学 来源:2017年初中毕业升学考试(内蒙古包头卷)数学(解析版) 题型:选择题

计算所得结果是( )

A.﹣2 B. C. D.2

查看答案和解析>>

科目:初中数学 来源:2017年初中毕业升学考试(辽宁营口卷)数学(解析版) 题型:选择题

如图,直线的解析式为,它与轴和轴分别相交于两点,平行于直线的直线从原点出发,沿轴的正方向以每秒1个单位长度的速度运动.它与轴和轴分别相交于两点,运动时间为秒(),以为斜边作等腰直角三角形两点分别在两侧),若的重合部分的面积为,则之间的函数关系的图角大致是( )

A. B. C. D.

第二部分(主观题)

查看答案和解析>>

科目:初中数学 来源:2017年初中毕业升学考试(辽宁大连卷)数学(解析版) 题型:解答题

某校为了解全校学生对新闻、体育、动画、娱乐、戏曲五类电视节目的喜爱情况,随机选取该校部分学生进行调查,要求每名学生从中只选一类最喜爱的电视节目.以下是根据调查结果绘制的统计图表的一部分.

根据以上信息,解答下列问题:

(1)被调查的学生中,最喜爱体育节目的有 人,这些学生数占被调查总人数的百分比为 %;

(2)被调查学生的总数为 人,统计表中的值为 ,统计图中的值为

(3)在统计图中,类所对应扇形圆心角的度数为

(4)该校共有2000名学生,根据调查结果,估计该校最喜爱欣慰节目的学生数.

查看答案和解析>>

同步练习册答案