精英家教网 > 初中数学 > 题目详情
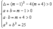
已知:如图,在Rt△ABC中,斜边AB=5厘米,BC=a厘米,AC=b厘米,a>b,且a、b是方程的两根,

(1)求a和b的值;
(2)若△A'B'C'与△ABC开始时完全重合,然后让△ABC固定不动,将△A'B'C'以1厘米/秒的速度沿BC所在的直线向左移动。
ⅰ)设x秒后△A'B'C'与△ABC 的重叠部分的面积为y平方厘米,求y与x之间的函数关系式,,并写出x的取值范围;
ⅱ)几秒后重叠部分的面积等于平方厘米?
(1)∵△ABC是Rt△且BC=a,AC=b,AB=5 (a>b)又a、b是方程的两根 
       ∴  ∴(a+b)2-2ab=25
      (m-1)2-2(m+4)=25         (m-8)(m+4)=0
       m1=8 m2=-4 经检验m=-4不合舍去
      ∴m=8     ∴x2-7x+12=0       x1=3    x2=4    ∴a=4,b=3;
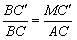
(2)∵△A′B′C′以1厘米/秒的速度沿BC所在直线向左移动。
        ∴x秒后BB′=x 则B′C′=4-x   ∵C′M∥AC    ∴△BC′M∽△BCA
        ∴
        ∴      
        ∴y= (0≤x≤4)
        当y=
         x1=3       x2=5(不合舍去)
    ∴经过3秒后重叠部分的面积等于平方厘米。
练习册系列答案
相关习题

科目:初中数学 来源: 题型:

精英家教网已知:如图,在Rt△ABC中,∠C=90°,过点B作BD∥AC,且BD=2AC,连接AD.试判断△ABD的形状,并说明理由.

查看答案和解析>>

科目:初中数学 来源: 题型:

(1997•陕西)已知,如图,在Rt△ABC中,∠C=90°,以AC为直径的⊙O交斜边AB于E,OD∥AB.求证:①ED是⊙O的切线;②2DE2=BE•OD.

查看答案和解析>>

科目:初中数学 来源: 题型:

(2013•丰台区一模)已知:如图,在Rt△ABC中,∠ABC=90°,以AB为直径的⊙O交AC于点D,E是BC的中点,连结DE.
(1)求证:DE与⊙O相切;
(2)连结OE,若cos∠BAD=
3
5
,BE=
14
3
,求OE的长.

查看答案和解析>>

科目:初中数学 来源: 题型:

已知:如图,在Rt△ABC中,∠C=90°,BC=4,AC=8,点D在斜边AB上,分别作DE⊥AC,DF⊥BC,垂足分别为E、F,得四边形DECF,设DE=x,DF=y.
(1)求出cosB的值;
(2)用含y的代数式表示AE;
(3)求y与x之间的函数关系式,并求出x的取值范围;
(4)设四边形DECF的面积为S,求出S的最大值.

查看答案和解析>>

科目:初中数学 来源: 题型:

已知,如图,在Rt△ABC中,∠C=90°,AC=15,BC=20,求斜边AB上的高CD.

查看答案和解析>>

同步练习册答案