精英家教网 > 初中数学 > 题目详情

如果一组数据x1,x2,…,xn的方差是2,则另一组数据x1+5,x2+5,…,xn+5的方差是(  )

A. 2 B. 5 C. 7 D. 10

练习册系列答案
相关习题

科目:初中数学 来源:江苏省苏州市2016-2017学年第二学期九年级下学期数学二模数学试卷 题型:单选题

的绝对值等于( ).

A. B. C. D.

查看答案和解析>>

科目:初中数学 来源:山东省2016-2017学年八年级5月月考数学试卷 题型:单选题

已知直线y=2x+b与坐标轴围成的三角形的面积是4,则b的值是(  )

A. 4 B. 2 C. ±4 D. ±2

查看答案和解析>>

科目:初中数学 来源:海南省海口市2016届九年级中考模拟数学试卷 题型:填空题

如图.在等边△ABC中,AC=4,点D、E、F分别在三边AB、BC、AC上,且AF=1,FD⊥DE,∠DFE=60°,则AD的长为_____________.

查看答案和解析>>

科目:初中数学 来源:海南省海口市2016届九年级中考模拟数学试卷 题型:填空题

一个角的度数为20°,则它的补角的度数为_______.

查看答案和解析>>

科目:初中数学 来源:江苏省苏州市2016-2017学年中考数学二模试卷 题型:解答题

如图,在中,.以为直径的⊙相切于,交于点的延长线交⊙于点,过点作弦,垂足为点

(1)求证:①,②

(2)若,求的长.

查看答案和解析>>

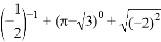
科目:初中数学 来源:江苏省苏州市2016-2017学年中考数学二模试卷 题型:解答题

计算:

查看答案和解析>>

科目:初中数学 来源:江苏省苏州市2016-2017学年中考数学二模试卷 题型:单选题

在“百度”搜索引擎输入“马航飞机失踪”,能搜索到与之相关的结果个数约为,这个数用科学记数法表示为( ).

A. B. C. D.

查看答案和解析>>

科目:初中数学 来源:河南省招生考试全真模拟数学试卷word版有答案 题型:填空题

计算-1-=------------------。

查看答案和解析>>

同步练习册答案