精英家教网 > 初中数学 > 题目详情

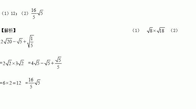
计算:(1); (2)

练习册系列答案
相关习题

科目:初中数学 来源:浙江省杭州市2016-2017学年八年级下学期期中考试(4月)数学试卷 题型:填空题

在等腰△ABC中,三边分别为a、b、c,其中a=4,b、c恰好是方程的两个实数根,则△ABC的周长为__________.

查看答案和解析>>

科目:初中数学 来源:[首发]广东省东莞市堂星晨学校2016-2017学年八年级5月月考数学试卷 题型:解答题

如图,直线l1的解析表达式为y=-3x+3,且l1与x轴交于点D,直线l2经过点A,B,直线l1,l2,交于点C.

(1)求点D的坐标;

(2)求直线l2的解析表达式;

(3)求△ADC的面积.

查看答案和解析>>

科目:初中数学 来源:[首发]广东省东莞市堂星晨学校2016-2017学年八年级5月月考数学试卷 题型:单选题

下面哪个点在函数y=x+1的图象上(  )

A. (2,1) B. (﹣2,1) C. (2,0) D. (﹣2,0)

查看答案和解析>>

科目:初中数学 来源:[中学联盟]浙江省嘉兴市秀洲区高照实验学校2016-2017学年八年级下学期第二次月考数学试卷 题型:解答题

在直角梯形ABCD中,AB∥CD,∠BCD=90°,AB=AD=10cm,BC=8cm。点P从点A出发,以每秒3cm的速度沿折线ABCD运动,点Q从点D出发,以每秒2cm的速度沿线段DC方向向点C运动。已知动点P,Q同时出发,当点Q运动到点C时,P,Q运动停止,设运动时间为t秒.

(1)求CD的长.

(2)t为何值时?四边形PBQD为平行四边形.

(3)在点P,点Q的运动过程中,是否存在某一时刻,使得△BPQ的面积为20cm2?若存在,请求出所有满足条件的t的值;若不存在,请说明理由.

查看答案和解析>>

科目:初中数学 来源:[中学联盟]浙江省嘉兴市秀洲区高照实验学校2016-2017学年八年级下学期第二次月考数学试卷 题型:填空题

数据1、2、3、4、5的方差是_______.

查看答案和解析>>

科目:初中数学 来源:[中学联盟]浙江省嘉兴市秀洲区高照实验学校2016-2017学年八年级下学期第二次月考数学试卷 题型:单选题

四边形ABCD的对角线AC、BD相交于点O.下列条件中,能判断四边形ABCD是平行四边形的是(  )

A. AD=BC,AB∥CD B. AO=CO,AD=BC

C. AD∥BC,∠ADC=∠ABC D. AD=BC,∠ABD=∠CDB

查看答案和解析>>

科目:初中数学 来源:[首发]江苏省兴化市顾庄学区三校2017届九年级第三次网上阅卷适应性训练(三模)数学试卷 题型:解答题

某校为更好地开展“传统文化进校园”活动,随机抽查了部分学生,了解他们喜爱的传统文化项目类型(分为书法、围棋、戏剧、国画共4类),并将统计结果绘制成如下不完整的频数分布表及频数分布直方图.

最喜爱的传统文化项目类型频数分布表

项目类型

频数

频率

书法类

18

a

围棋类

14

0.28

喜剧类

8

0.16

国画类

b

0.20

最喜爱的传统文化项目类型频数分布直方图

根据以上信息完成下列问题:

(1)直接写出频数分布表中a的值;

(2)补全频数分布直方图;

(3)若全校共有学生1500名,估计该校最喜爱围棋的学生大约有多少人?

查看答案和解析>>

科目:初中数学 来源:[首发]广东省东莞市堂星晨学校2016-2017学年七年级5月月考数学试卷 题型:单选题

化简的结果是

A. -2 B. 2 C. -4 D. 4

查看答案和解析>>

同步练习册答案