精英家教网 > 初中数学 > 题目详情

先化简再求值:,其中x满足x2+x﹣2=0.

练习册系列答案
相关习题

科目:初中数学 来源:江苏省连云港市2017年中考模拟(二)数学试卷 题型:填空题

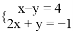
方程组的解是_______.

查看答案和解析>>

科目:初中数学 来源:广东省东莞市堂星晨学校2017届考模拟数学试卷 题型:解答题

某县政府打算用25000元用于为某乡福利院购买每台价格为2000元的彩电和每台价格为1800元的冰箱,并计划恰好全部用完此款.

(1)问原计划所购买的彩电和冰箱各多少台?

(2)由于国家出台“家电下乡”惠农政策,该县政府购买的彩电和冰箱可获得13%的财政补贴,若在不增加县政府实际负担的情况下,能否多购买两台冰箱?谈谈你的想法.

查看答案和解析>>

科目:初中数学 来源:广东省东莞市堂星晨学校2017届考模拟数学试卷 题型:单选题

下列各图是选自历届世博会徽中的图案,其中是中心对称图形的是(  )

A. B. C. D.

查看答案和解析>>

科目:初中数学 来源:江苏省苏州昆山市2017年中考数学一轮复习专题练习《分式》 题型:解答题

先化简,再求值:(﹣x﹣1)÷,其中x=,y=

查看答案和解析>>

科目:初中数学 来源:江苏省苏州昆山市2017年中考数学一轮复习专题练习《分式》 题型:解答题

化简:

查看答案和解析>>

科目:初中数学 来源:江苏省苏州昆山市2017年中考数学一轮复习专题练习《分式》 题型:填空题

若分式有意义,则a的取值范围是__.

查看答案和解析>>

科目:初中数学 来源:江苏省2017届九年级中考最后一模数学试卷 题型:解答题

计算:(+(2017--4cos30°-|-2|

查看答案和解析>>

科目:初中数学 来源:江苏省2016-2017学年八年级上学期第二次教学质量检测数学试卷 题型:解答题

课本P152有段文字:把函数y=2x的图象分别沿y轴向上或向下平移3个单位长度,就得到函数y=2x+3或y=2x﹣3的图象.

【阅读理解】

小尧阅读这段文字后有个疑问:把函数y=﹣2x的图象沿x轴向右平移3个单位长度,如何求平移后的函数表达式?

老师给了以下提示:如图1,在函数y=﹣2x的图象上任意取两个点A、B,分别向右平移3个单位长度,得到A′、B′,直线A′B′就是函数y=﹣2x的图象沿x轴向右平移3个单位长度后得到的图象.

请你帮助小尧解决他的困难.

(1)将函数y=﹣2x的图象沿x轴向右平移3个单位长度,平移后的函数表达式为

A.y=﹣2x+3;B.y=﹣2x﹣3;C.y=﹣2x+6;D.y=﹣2x﹣6

【解决问题】

(2)已知一次函数的图象与直线y=﹣2x关于x轴对称,求此一次函数的表达式.

【拓展探究】

(3)一次函数y=﹣2x的图象绕点(2,3)逆时针方向旋转90°后得到的图象对应的函数表达式为 .(直接写结果)

查看答案和解析>>

同步练习册答案