精英家教网 > 初中数学 > 题目详情

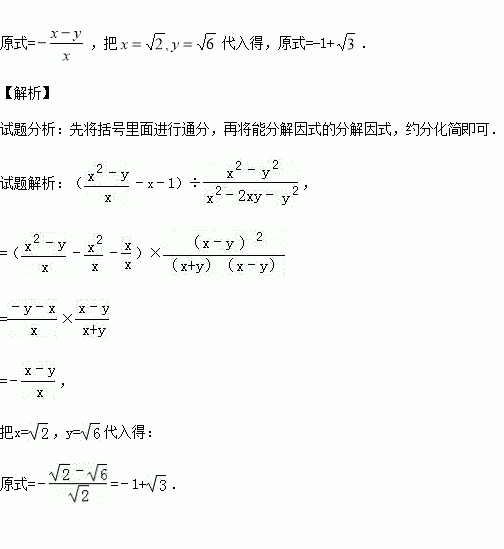
先化简,再求值:(﹣x﹣1)÷,其中x=,y=

练习册系列答案
相关习题

科目:初中数学 来源:江苏省连云港市2017年中考模拟(二)数学试卷 题型:填空题

若一个多边形的每个外角都是30°,则它的边数是_______.

查看答案和解析>>

科目:初中数学 来源:广东省东莞市堂星晨学校2017届考模拟数学试卷 题型:解答题

已知如图1,抛物线y=﹣x2﹣x+3与x轴交于A和B两点(点A在点B的左侧),与y轴相交于点C,点D的坐标是(0,﹣1),连接BC、AC

(1)求出直线AD的解析式;

(2)如图2,若在直线AC上方的抛物线上有一点F,当△ADF的面积最大时,有一线段MN=(点M在点N的左侧)在直线BD上移动,首尾顺次连接点A、M、N、F构成四边形AMNF,请求出四边形AMNF的周长最小时点N的横坐标;

(3)如图3,将△DBC绕点D逆时针旋转α°(0<α°<180°),记旋转中的△DBC为△DB′C′,若直线B′C′与直线AC交于点P,直线B′C′与直线DC交于点Q,当△CPQ是等腰三角形时,求CP的值.

查看答案和解析>>

科目:初中数学 来源:广东省东莞市堂星晨学校2017届考模拟数学试卷 题型:单选题

经过某十字路口的汽车,它可以继续直行,也可以向左转或向右转.如果这三种可能性大小相同,则两辆汽车经过这个十字路口全部继续直行的概率是( )

A. B. C. D.

查看答案和解析>>

科目:初中数学 来源:广东省东莞市堂星晨学校2017届考模拟数学试卷 题型:单选题

在﹣1、0、1、2这四个数中,最小的数是(  )

A. ﹣1 B. 0

C. 1 D. 1

查看答案和解析>>

科目:初中数学 来源:江苏省苏州昆山市2017年中考数学一轮复习专题练习《分式》 题型:解答题

先化简再求值:,其中x满足x2+x﹣2=0.

查看答案和解析>>

科目:初中数学 来源:江苏省苏州昆山市2017年中考数学一轮复习专题练习《分式》 题型:填空题

=+,对任意自然数n都成立,则a=__,b=__;计算:m=+++…+=__.

查看答案和解析>>

科目:初中数学 来源:江苏省2017届九年级中考最后一模数学试卷 题型:解答题

如图,点E正方形ABCD外一点,点F是线段AE上一点,△EBF是等腰直角三角形,其中∠EBF=90°,连接CE、CF.

(1)求证:△ABF≌△CBE;

(2)判断△CEF的形状,并说明理由.

查看答案和解析>>

科目:初中数学 来源:深圳锦华实验学校2017届九年级数学中考模拟试卷 题型:单选题

随着我国经济快速发展,轿车进入百姓家庭,小明同学在街头观察出下列四种汽车标志,其中既是中心对称图形,又是轴对称图形的是

A. B. C. D.

查看答案和解析>>

同步练习册答案