精英家教网 > 初中数学 > 题目详情

西部某地区退耕还林种植松树和柏树两种树种,已知种植松树的面积比种植这两种树的总面积的一半多56公顷,种植柏树的面积比种植这两种树的总面积的少14公顷,求这个地区种植松树和柏树各有多少公顷?

答案:
解析:

  设这个地区种植松树x公顷,种植柏树y公顷,

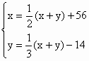
  根据题意可得:,解得


练习册系列答案
相关习题

科目:初中数学 来源: 题型:

24、“坡耕地退耕还林还草”是国家对解决西部地区水土流失生态问题采取的一项战略措施.某村将其中27亩耕地改为种果树,如图所示,其中枣树和李树种植面积一样大,李树占地面积为(  )

查看答案和解析>>

科目:初中数学 来源:数学教研室 题型:013

  某地区“退耕还林”后,耕地面积和林地面积共180平方千米,耕地面积是林地面积的25%.设耕地面积为x平方千米,林地面积为y平方千米,根据题意,可得方程组 ( )

  A

  B

  C

  D

 

查看答案和解析>>

科目:初中数学 来源:湖北省期末题 题型:单选题

“坡耕地退耕还林还草”是国家对解决西部地区水土流失生态问题采取的一项战略措施.某村将其中27亩耕地改为种果树,如图所示,其中枣树和李树种植面积一样大,李树占地面积为
[     ]
A.10.8亩
B.5.4亩
C.13.5亩
D.9亩

查看答案和解析>>

科目:初中数学 来源:期末题 题型:单选题

“坡耕地退耕还林还草”是国家对解决西部地区水土流失生态问题采取的一项战略措施.某村将其中27亩耕地改为种果树,如图所示,其中枣树和李树种植面积一样大,李树占地面积为
[     ]
A.10.8亩
B.5.4亩
C.13.5亩
D.9亩

查看答案和解析>>

同步练习册答案