精英家教网 > 初中数学 > 题目详情
如图,在小岛上有一观察站A.据测,灯塔B在观察站A北偏西45°的方向,灯塔C在B正东方向,且相距10海里,灯塔C与观察站A相距10海里,请你测算灯塔C处在观察站A的什么方向?

解:过点C作CD⊥AB,垂足为D,
∵灯塔B在观察站A北偏西45°的方向,
∴∠B=45度,
又∵BC=10海里,
∴在Rt△BCD中,sin∠B=
∴sin45°=
∴CD=BC·sin45°=10×=5(海里),
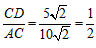
在Rt△ACD中,
∵AC=10
∴sin∠CAD=
即sin∠CAD=
∴∠CAD=30°
∴∠CAF=∠BAF-∠CAD=45°-30°=15°,
答:灯塔C处在观察站A北偏西15°的方向。
练习册系列答案
相关习题

科目:初中数学 来源: 题型:

精英家教网如图,在小岛上有一观察站A.据测,灯塔B在观察站A北偏西45°的方向,灯塔C在B正东方向,且相距10海里,灯塔C与观察站A相距10
2
海里,请你测算灯塔C处在观察站A的什么方向?

查看答案和解析>>

科目:初中数学 来源: 题型:

精英家教网如图,在小岛上有一观察站A.据测,灯塔B在观察站A北偏西45°的方向,灯塔C在B正东方向,且相距10海里,灯塔C与观察站A相距10
2
海里,请你测算灯塔C处在观察站A的什么方向?

查看答案和解析>>

科目:初中数学 来源:《第1章 解直角三角形》2010年单元复习2(解析版) 题型:解答题

如图,在小岛上有一观察站A.据测,灯塔B在观察站A北偏西45°的方向,灯塔C在B正东方向,且相距10海里,灯塔C与观察站A相距10海里,请你测算灯塔C处在观察站A的什么方向?

查看答案和解析>>

科目:初中数学 来源:2011-2012学年山东省济宁市九年级(上)期中数学试卷(解析版) 题型:解答题

如图,在小岛上有一观察站A.据测,灯塔B在观察站A北偏西45°的方向,灯塔C在B正东方向,且相距10海里,灯塔C与观察站A相距海里,请你测算灯塔C处在观察站A的什么方向?

查看答案和解析>>

科目:初中数学 来源:《第25章 解直角三角形》2010年百神庙镇中心学校单元测试卷(解析版) 题型:解答题

如图,在小岛上有一观察站A.据测,灯塔B在观察站A北偏西45°的方向,灯塔C在B正东方向,且相距10海里,灯塔C与观察站A相距海里,请你测算灯塔C处在观察站A的什么方向?

查看答案和解析>>

同步练习册答案