精英家教网 > 初中数学 > 题目详情

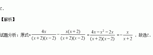
化简的结果是( )

A. B. C. D.

练习册系列答案
相关习题

科目:初中数学 来源:2017年初中毕业升学考试(山东德州卷)数学(解析版) 题型:选择题

如图,两个等直径圆柱构成如图所示的T形管道,则其俯视图正确的是( )

查看答案和解析>>

科目:初中数学 来源:2017年初中毕业升学考试(陕西卷)数学(解析版) 题型:填空题

已知A,B两点分别在反比例函数(m≠0)和(m≠)的图象上,若点A与点B关于x轴对称,则m的值为

查看答案和解析>>

科目:初中数学 来源:2017年初中毕业升学考试(山西卷)数学(解析版) 题型:解答题

“春种一粒粟,秋收万颗子”,唐代诗人李绅这句诗中的“粟”即谷子(去皮后则称为“小米”),被誉为中华民族的哺育作物.我省有着“小杂粮王国”的美誉,谷子作为我省杂粮面积为2000万亩,年总产量为150万吨,我省谷子平均亩产量为160kg,国内其他地区谷子的平均亩产量为60kg.请解答下列问题:

(1)求我省2016年谷子的种植面积是多少万亩.

(2)2017年,若我省谷子的平均亩产量仍保持160kg不变,要使我省谷子的年总产量不低于52万吨,那么,今年我省至少应再多种植多少万亩的谷子?

查看答案和解析>>

科目:初中数学 来源:2017年初中毕业升学考试(山西卷)数学(解析版) 题型:填空题

某商店经销一种品牌的洗衣机,其中某一型号的洗衣机每台进价为元,商店将进价提高后作为零售价进行销售,一段时间后,商店又以9折优惠价促销,这时该型号洗衣机的零售价为 元.

查看答案和解析>>

科目:初中数学 来源:2017年初中毕业升学考试(山西卷)数学(解析版) 题型:选择题

计算的结果是( )

A.-3 B.-1 C.1 D.3

查看答案和解析>>

科目:初中数学 来源:2017年初中毕业升学考试(山东淄博卷)数学(解析版) 题型:解答题

解不等式:

查看答案和解析>>

科目:初中数学 来源:2017年初中毕业升学考试(山东淄博卷)数学(解析版) 题型:选择题

的相反数是( )

A. B. C. D.

查看答案和解析>>

科目:初中数学 来源:2017年初中毕业升学考试(四川泸州卷)数学(解析版) 题型:选择题

已知三角形的三边长分别为a、b、c,求其面积问题,中外数学家曾经进行过深入研究,古希腊的几何学家海伦(Heron,约公元50年)给出求其面积的海伦公式S=,其中p=;我国南宋时期数学家秦九韶(约1202-1261)曾提出利用三角形的三边求其面积的秦九韶公式S=,若一个三角形的三边长分别为2,3,4,则其面积是( )

A. B. C. D.

查看答案和解析>>

同步练习册答案