精英家教网 > 初中数学 > 题目详情

已知是二次函数,则k必须满足的条件是______________。

练习册系列答案
相关习题

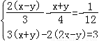
科目:初中数学 来源:河南省南阳市淅川县2016-2017学年七年级下学期期末考试数学试卷 题型:解答题

解方程组:

查看答案和解析>>

科目:初中数学 来源:北京市延庆区2016-2017学年七年级第二学期期末考试数学试卷 题型:单选题

下列各式由左边到右边的变形中,是因式分解的是( )

A. B.

C. D.

查看答案和解析>>

科目:初中数学 来源:黑龙江省(五四学制)2016届九年级11月月考数学试卷 题型:单选题

从n个苹果和3个雪梨中,任选1个,若选中苹果的概率是,则n的值是( )

A. 6 B. 3 C. 2 D. 1

查看答案和解析>>

科目:初中数学 来源:黑龙江省(五四学制)2016届九年级11月月考数学试卷 题型:填空题

从-1,1,2三个数中任取一个,作为一次函数y=kx+3中的k值,则所得一次函数中y随x

增大而增大的概率是

查看答案和解析>>

科目:初中数学 来源:辽宁省朝阳市建平县2016-2017学年七年级(下)期末数学试卷 题型:解答题

如图,已知,AB∥CD,∠1=∠2,AE与EF平行吗?为什么?

查看答案和解析>>

科目:初中数学 来源:辽宁省朝阳市建平县2016-2017学年七年级(下)期末数学试卷 题型:填空题

如果(a+b)2=5,(a﹣b)2=1,则a2+b2=_____.

查看答案和解析>>

科目:初中数学 来源:福建省漳州市长泰县2016-2017学年八年级(下)期中数学试卷 题型:解答题

如图,?ABCD中,对角线AC与BD相交于O,EF是过点O的任一直线交AD于点E,交BC于点F,猜想OE和OF的数量关系,并说明理由.

查看答案和解析>>

科目:初中数学 来源:陕西省咸阳市2016-2017学年七年级(上)第二次月考数学试卷(含答案) 题型:单选题

如图,数轴A、B上两点分别对应实数a、b,则下列结论正确的是(  )

A. a+b>0 B. ab=0 C. <0 D. +>0

查看答案和解析>>

同步练习册答案