精英家教网 > 初中数学 > 题目详情

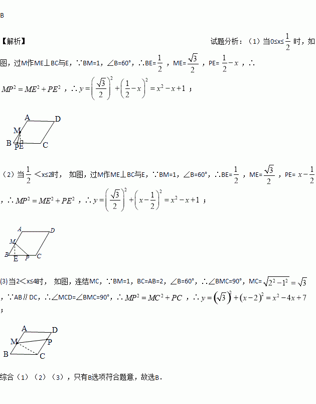
如图,菱形ABCD中,AB=2,∠B=60°,M为AB的中点.动点P在菱形的边上从点B出发,沿B→C→D的方向运动,到达点D时停止.连接MP,设点P运动的路程为x,MP2=y,则表示y与x的函数关系的图象大致为( )

A. B. C. D. ??

练习册系列答案
相关习题

科目:初中数学 来源:吉林省2016-2017学年八年级下学期期末考试数学试卷 题型:单选题

如图,在□ABCD中,O是AC,BD的交点,过点O与AC垂直的直线交边AD于点E,若□ABCD的周长20厘米,则△CDE的周长为( )

A. 6厘米 B. 8厘米 C. 10厘米 D. 12厘米

查看答案和解析>>

科目:初中数学 来源:山东省德州市庆云县2016-2017学年八年级下学期期末考试数学试卷(WORD版) 题型:填空题

如图,正方形ABCD的边长为1,以对角线AC为边作第二个正方形,再以对角线AE为边作第三个正方形AEGH,如此下去,第n个正方形的边长为_________.

查看答案和解析>>

科目:初中数学 来源:山东省2016-2017学年九年级(上)期末自测数学试卷(含答案) 题型:解答题

(10分)把两个直角边长均为6的等腰直角三角板ABC和EFG叠放在一起(如图①),使三角板EFG的直角顶点G与三角板ABC的斜边中点O重合.现将三角板EFG绕O点顺时针旋转(旋转角α满足条件:0°<α<90°),四边形CHGK是旋转过程中两三角板的重叠部分(如图②).

(1)探究:在上述旋转过程中,BH与CK的数量关系以及四边形CHGK的面积的变化情况(直接写出探究的结果,不必写探究及推理过程);

(2)利用(1)中你得到的结论,解决下面问题:连接HK,在上述旋转过程中,是否存在某一位置,使△GKH的面积恰好等于△ABC面积的?若存在,求出此时BH的长度;若不存在,说明理由.

查看答案和解析>>

科目:初中数学 来源:山东省2016-2017学年九年级(上)期末自测数学试卷(含答案) 题型:填空题

如图,正方形ABCD的边长为2,AE=EB,MN=1,线段MN的两端在CB,CD上滑动,当CM=__时,△AED与以M,N,C为顶点的三角形相似.

查看答案和解析>>

科目:初中数学 来源:山东省2016-2017学年九年级(上)期末自测数学试卷(含答案) 题型:选择题

若关于x的一元二次方程方程(k﹣1)x2+4x+1=0有两个不相等的实数根,则k的取值范围是(  )

A. k<5 B. k<5且k≠1 C. k≤5且k≠1 D. k>5

查看答案和解析>>

科目:初中数学 来源:江苏省连云港市2016-2017学年度第二学期中考数学模拟试卷 题型:解答题

如图,经过原点的抛物线y=﹣x2+2mx(m>0)与x轴的另一个交点为A.过点P(1,m)作直线PM⊥x轴于点M,交抛物线于点B.记点B关于抛物线对称轴的对称点为C(B、C不重合).连接CB,CP.

(1)当m=3时,求点A的坐标及BC的长;

(2)当m>1时,连接CA,问m为何值时CA⊥CP?

(3)过点P作PE⊥PC且PE=PC,问是否存在m,使得点E落在坐标轴上?若存在,求出所有满足要求的m的值,并求出相对应的点E坐标;若不存在,请说明理由.

查看答案和解析>>

科目:初中数学 来源:江苏省连云港市2016-2017学年度第二学期中考数学模拟试卷 题型:填空题

在一个不透明的盒子中装有n个规格相同的乒乓球,其中有2个黄色球,每次摸球前先将盒中的球摇匀,随机摸出一个球记下颜色后再放回盒中,通过大量重复试验后发现,摸到黄色球的频率稳定于0.2,那么可以推算出n大约是________.

查看答案和解析>>

科目:初中数学 来源:2017年陕西省数学毕业学业模拟考试(二) 题型:解答题

计算:()-1+|-|-(π-3)0+3tan30°.

查看答案和解析>>

同步练习册答案