精英家教网 > 初中数学 > 题目详情

如图,点A、B、C、D、O都在方格纸的格点上,若△COD是由△AOB绕点O按逆时针方向旋转而得,则旋转的角度为( )

A. 30° B. 45° C. 90° D. 135°

练习册系列答案
相关习题

科目:初中数学 来源:湖南省衡阳市2017届九年级上学期期末考试数学试卷 题型:单选题

使二次根式有意义的a的取值范围是( )

A. a≥﹣2 B. a≥2 C. a≤2 D. a≤﹣2

查看答案和解析>>

科目:初中数学 来源:2017年辽宁省沈阳市于洪区中考数学二模试卷 题型:填空题

图中的四边形均为矩形.根据图形,写出一个正确的等式:__.

查看答案和解析>>

科目:初中数学 来源:重庆市2016-2017学年度上期九年级期末练习数学试卷(含答案) 题型:解答题

已知关于X的一元二次方程为:

(1)当方程有两实数根时,求的取值范围;

(2)任取一个值,求出方程的两个不相等实数根。

查看答案和解析>>

科目:初中数学 来源:重庆市2016-2017学年度上期九年级期末练习数学试卷(含答案) 题型:单选题

已知抛物线在平面直角坐标系中的位置如图所示,则下列结论中正确的是(  )

A. B. C. D.

查看答案和解析>>

科目:初中数学 来源:河北省石家庄市栾城区2016-2017学年七年级下学期期末考试数学试卷 题型:解答题

(1)如图1,在边长为a的正方形中,画出两个长方形阴影,则阴影部分的面积是   (写成两数平方差的形式);

(2)如图2,若将阴影部分裁剪下来,重新拼成一个长方形,它的长是   ,宽是   ,面积是   (写成多项式乘法的形式);

(3)比较左、右两图的阴影部分面积,可以得到乘法公式   (用式子表达);

(4)运用你所得到的公式计算:

①10.3×9.7

②(2m+n﹣p)(2m﹣n+p)

查看答案和解析>>

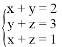
科目:初中数学 来源:河北省石家庄市栾城区2016-2017学年七年级下学期期末考试数学试卷 题型:填空题

由方程组 ,可以得到x+y+z的值是_____.

查看答案和解析>>

科目:初中数学 来源:江苏省东台市2017届九年级上学期期末考试数学试卷 题型:解答题

如图,二次函数的图像交轴于,交轴于点,连接直线.

(1)求二次函数的解析式;

(2)点在二次函数的图像上,圆与直线相切,切点为.

①若轴的左侧,且△∽△,求点的坐标;

②若圆的半径为4,求点的坐标.

查看答案和解析>>

科目:初中数学 来源:江苏省2017届九年级上学期第二次月考数学试卷 题型:填空题

如图,某单位准备将院内一块长30m,宽20m的长方形花园中修两条纵向平行和一条横向弯折的小道,剩余的地方种植花草,如图,要使种植花草的面积为532m2,设小道进出口的宽度为x m,根据条件,可列出方程:____________.

查看答案和解析>>

同步练习册答案