精英家教网 > 初中数学 > 题目详情

一次函数的图像都经过点A(-3,2),且与y轴分别交于点B、C.

(1)求这两个一次函数的解析式;

(2)求△ABC的面积.

练习册系列答案
相关习题

科目:初中数学 来源:广东省2016-2017学年八年级下学期第二次月考数学试卷(B卷) 题型:单选题

给出下列四个命题

⑴一组对边平行的四边形是平行四边形 

⑵一条对角线平分一个内角的平行四边形是菱形

⑶两条对角线互相垂直的矩形是正方形 

⑷顺次连接四边形四边中点所得的四边形是平行四边形.

其中正确命题的个数为(   )

A. 1个 B. 2个 C. 3个 D. 4个

查看答案和解析>>

科目:初中数学 来源:山东省2016-2017学年七年级下学期期末模拟数学试卷 题型:解答题

将一副直角三角板如图放置,已知AE∥BC,求∠AFD的度数.

查看答案和解析>>

科目:初中数学 来源:山东省2016-2017学年七年级下学期期末模拟数学试卷 题型:单选题

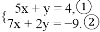
用加减法解方程组 时,①×2-②得(  )

A. 3x=-1 B. -2x=13 C. 17x=-1 D. 3x=17

查看答案和解析>>

科目:初中数学 来源:河南省周口市西华县2016-2017学年八年级下学期期末考试数学试卷 题型:解答题

提出问题:如图1,将三角板放在正方形ABCD上,使三角板的直角顶点P在对角线AC上,一条直角边经过点B,另一条直角边交边DC与点E,求证:PB=PE

分析问题:学生甲:如图1,过点P作PM⊥BC,PN⊥CD,垂足分别为M,N通过证明两三角形全等,进而证明两条线段相等.

学生乙:连接DP,如图2,很容易证明PD=PB,然后再通过“等角对等边”证明PE=PD,就可以证明PB=PE了.

解决问题:请你选择上述一种方法给予证明.

问题延伸:如图3,移动三角板,使三角板的直角顶点P在对角线AC上,一条直角边经过点B,另一条直角边交DC的延长线于点E,PB=PE还成立吗?若成立,请证明;若不成立,请说明理由.

查看答案和解析>>

科目:初中数学 来源:河南省周口市西华县2016-2017学年八年级下学期期末考试数学试卷 题型:填空题

如图 ,在Rt△ABC中,∠C=90°,∠A=30°,AC=3,则斜边AB=______.

查看答案和解析>>

科目:初中数学 来源:河南省周口市西华县2016-2017学年八年级下学期期末考试数学试卷 题型:单选题

已知平行四边形一边长为14,则下列各组数据能分别作它的两条对角线长的是( )

A. 10与16 B. 20与8 C. 20与26 D. 10与40

查看答案和解析>>

科目:初中数学 来源:河北省秦皇岛市卢龙县2016-2017学年八年级下学期期末考试数学试卷 题型:填空题

一个三角形的三边长分别为4,5,6,则连结各边中点所得三角形的周长为________________.

查看答案和解析>>

科目:初中数学 来源:山东省蒙阴县2016-2017学年八年级下学期期末考试数学试卷 题型:单选题

如图,平行四边形的对角线AC、BD相交于点O,若AC+BD=10,BC=4,则△BOC的周长为( )

A. 8 B. 9 C. 10 D. 14

查看答案和解析>>

同步练习册答案