精英家教网 > 初中数学 > 题目详情

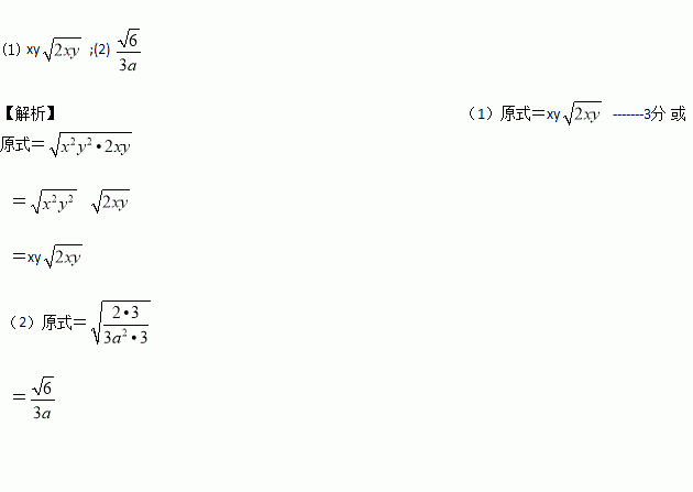
化简:(共6分)

(1) (2)

练习册系列答案
相关习题

科目:初中数学 来源:福建省莆田市2016届九年级数学能力达标练习06 题型:填空题

如图,△ABC中,点D在边BC上,若AB=AD=CD,∠BAD=100°,则∠C=___度.

查看答案和解析>>

科目:初中数学 来源:浙江省杭州市2016-2017学年七年级下学期期中考试数学试卷 题型:解答题

如图1,这是由8个同样大小的立方体组成的魔方,体积为64.

(1)求出这个魔方的棱长.

(2)图中阴影部分是一个正方形ABCD,求出阴影部分的面积及其边长.

(3)把正方形ABCD放到数轴上,如图2,使得A与﹣1重合,那么D在数轴上表示的数为   .

查看答案和解析>>

科目:初中数学 来源:浙江省杭州市2016-2017学年七年级下学期期中考试数学试卷 题型:单选题

,则下列各式中一定成立的是( )

A. B. C. D.

查看答案和解析>>

科目:初中数学 来源:福建省2016-2017学年八年级3月月考数学试卷 题型:解答题

先化简,再求值:,其中x=+1(6分)

查看答案和解析>>

科目:初中数学 来源:福建省2016-2017学年八年级3月月考数学试卷 题型:填空题

将长为5米的梯子斜靠在墙上,若梯子的上端到梯子的底端的距离为3米,则梯子的底端到墙的底端的距离为__________米

查看答案和解析>>

科目:初中数学 来源:福建省2016-2017学年八年级3月月考数学试卷 题型:单选题

下列计算错误的是(  )

A. 4﹦4 B. ÷

C. ﹦5 D. ×﹦7

查看答案和解析>>

科目:初中数学 来源:广西桂林市灌阳县2016-2017学年八年级下学期期中考试数学试卷 题型:填空题

某正n边形的一个内角为108°,则n =________.

查看答案和解析>>

科目:初中数学 来源:浙江省杭州市2016-2017学年七年级3月阶段性检测数学试卷 题型:解答题

如图,BD⊥AC,EF⊥AC,D、F分别为垂足,∠1=∠2,试说明DG‖BC。

查看答案和解析>>

同步练习册答案