精英家教网 > 初中数学 > 题目详情

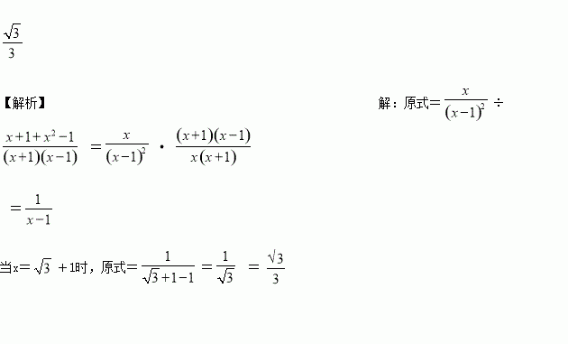
先化简,再求值:,其中x=+1(6分)

练习册系列答案
相关习题

科目:初中数学 来源:福建省莆田市2016届九年级数学能力达标练习06 题型:解答题

已知一次函数y=kx+b,当x=2时y的值是﹣1,当x=﹣1时y的值是5.

(1)求此一次函数的解析式;

(2)若点P(m,n)是此函数图象上的一点,﹣3≤m≤2,求n的最大值.

查看答案和解析>>

科目:初中数学 来源:2017年陕西省数学毕业学业模拟考试(一) 题型:单选题

如图所示的几何体的左视图是(  )

A. B. C. D.

查看答案和解析>>

科目:初中数学 来源:浙江省杭州市2016-2017学年七年级下学期期中考试数学试卷 题型:单选题

如图,正方形卡片A类、B类和长方形卡片C类各若干张,如果要拼一个长为(a+3b),宽为(2a+b)的大长方形,则需要A类、B类和C类卡片的张数分别为( )

A. 2,3,7 B. 3,7,2 C. 2,5,3 D. 2,5,7

查看答案和解析>>

科目:初中数学 来源:浙江省杭州市2016-2017学年七年级下学期期中考试数学试卷 题型:单选题

下列实数中,有理数是:

A. B. C. D. 0.101001001

查看答案和解析>>

科目:初中数学 来源:福建省2016-2017学年八年级3月月考数学试卷 题型:解答题

化简:(共6分)

(1) (2)

查看答案和解析>>

科目:初中数学 来源:福建省2016-2017学年八年级3月月考数学试卷 题型:单选题

如图所示,AB=BC=CD=DE=2,AB⊥BC,AC⊥CD,AD⊥DE,则AE=( )

A. B. 3 C. 4 D. 2

查看答案和解析>>

科目:初中数学 来源:广西桂林市灌阳县2016-2017学年八年级下学期期中考试数学试卷 题型:解答题

(6分) 如图,在 ABCD中,点E,F分别是边AD,BC的中点,求证:AF=CE。

查看答案和解析>>

科目:初中数学 来源:新疆乌鲁木齐市2017届中考四模数学试卷 题型:单选题

-3的倒数是( )

A. B. C. -3 D. 3

查看答案和解析>>

同步练习册答案