精英家教网 > 初中数学 > 题目详情

已知一次函数y=(m -1)x + m的图象分别交x轴负半轴、y轴负半轴于点A、B,则m的取值范围是( )

A. m>1 B. m<1 C. m < 0 D. m > 0

练习册系列答案
相关习题

科目:初中数学 来源:山西省大同市矿区2016-2017学年七年级下学期期末考试数学试卷 题型:单选题

下列命题中,真命题是( )

A. 同位角相等. B. . C. 的平方根是. D. 3是不等式的解.

查看答案和解析>>

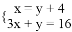
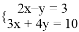
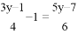
科目:初中数学 来源:安徽省合肥市2016-2017学年下学期期末考试七年级数学试卷 题型:解答题

解下列方程或方程组:

(1);(2);(3);(4)

(5);(6)

查看答案和解析>>

科目:初中数学 来源:河北省秦皇岛市抚宁县台营学区2016-2017学年八年级下学期期末考试数学试卷 题型:解答题

如图,正方形ABCD中, 点E、F分别是边BC、CD上的点, 且BE=CF

求证:

(1)AE=BF

(2)AE⊥BF

查看答案和解析>>

科目:初中数学 来源:河北省秦皇岛市抚宁县台营学区2016-2017学年八年级下学期期末考试数学试卷 题型:填空题

如图,一次函数的y=kx+b图象经过A(2,4)、B(0,2)两点,与x轴交于点C,则ΔAOC的面积为_________.

查看答案和解析>>

科目:初中数学 来源:河北省秦皇岛市抚宁县台营学区2016-2017学年八年级下学期期末考试数学试卷 题型:单选题

在四边形ABCD中,对角线AC、BD相交于点O,给出下列四组条件:

①AB∥CD AD∥BC ②AB=CD AD=BC ③AO=CO BO=DO ④AB∥CD AD=BC

其中一定能判断这个四边形是平行四边形的共有( ).

A. 1组 B. 2组 C. 3组 D. 4组

查看答案和解析>>

科目:初中数学 来源:江苏省泰州市姜堰区2016-2017学年八年级下学期期末考试数学试卷 题型:解答题

(本题满分14分)如图,在正方形ABCD中,AB=5.点E为BC边上一点(不与点B重合),点F为CD边上一点,线段AE、BF相交于点O,其中AE=BF.

(1)求证:AE⊥BF;

(2)若OA-OB=1,求OA的长及四边形OECF的面积;

(3)连接OD,若△AOD是以AD为腰的等腰三角形,求AE的长.

查看答案和解析>>

科目:初中数学 来源:江苏省泰州市姜堰区2016-2017学年八年级下学期期末考试数学试卷 题型:填空题

若x<2,则____.

查看答案和解析>>

科目:初中数学 来源:江苏省2016-2017学年七年级下学期期末考试数学试卷 题型:解答题

解方程组或不等式组

,并把不等式组的解集在数轴上表示出来.

查看答案和解析>>

同步练习册答案