精英家教网 > 初中数学 > 题目详情

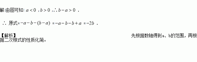
如图,实数在数轴上的位置,化简

练习册系列答案
相关习题

科目:初中数学 来源: 题型:选择题

18.下列图形都是由同样大小的小圆圈按一定规律所组成的,其中第①个图形中一共有4个小圆圈,第②个图形中一共有10个小圆圈,第③个图形中一共有19个小圆圈,…,按此规律排列,则第⑦个图形中小圆圈的个数为(  )
A.64B.77C.80D.85

查看答案和解析>>

科目:初中数学 来源:2016-2017学年新疆乌鲁木齐市八年级下学期第一次月考数学试卷(解析版) 题型:单选题

下列选项中,正确的是(  )

A. ()2= -5 B. 是最简二次根式

C. =-2 D. 3=-

查看答案和解析>>

科目:初中数学 来源:2017届重庆市九年级3月月考数学试卷(解析版) 题型:选择题

如图,是一组按照某种规律摆放而成的图案,则图5中三角形的个数是(  ).

A. 8     B.9     C.16     D.17

查看答案和解析>>

科目:初中数学 来源:2017届重庆市九年级3月月考数学试卷(解析版) 题型:单选题

已知关于的方程x2-kx-6=0的一个要根为x=3,则实数k的值为( )

A. 1 B. - 1 C. 2 D. -2

查看答案和解析>>

科目:初中数学 来源:2016-2017学年浙江省八年级3月月考数学试卷(解析版) 题型:填空题

有两个一元二次方程,M∶ax2+bx+c=0;N∶cx2+bx+a=0(其中a·c≠0,a≠c )则下列结论中,其中正确的是 ____.(填序号)

①如果方程M有两个不相等的实数根,那么方程N也有两个不相等的实数根;

②如果5是方程M的一个根,那么是方程N的一个根;

③如果方程M和方程N有一个相同的根,那么这个根必是x=1.

查看答案和解析>>

科目:初中数学 来源:2016-2017学年浙江省八年级3月月考数学试卷(解析版) 题型:单选题

已知关于 的一元二次方程 有两个不相等的实数根,则k的取值范围是( )

A. k≥﹣2 B. k﹥ ﹣2 C. k﹥﹣2 且k≠﹣1 D. .k﹤ ﹣1

查看答案和解析>>

科目:初中数学 来源: 题型:填空题

13.化简后求值:已知a=2-$\sqrt{2}$,b=2+$\sqrt{2}$,求$\frac{{a}^{3}b+{a}^{2}{b}^{2}}{{a}^{2}+2ab+{b}^{2}}$$÷\frac{{a}^{2}-ab}{{a}^{2}-{b}^{2}}$的值.

查看答案和解析>>

科目:初中数学 来源: 题型:解答题

12.如图,AE∥BF,AC平分∠BAD,交BF于点C,BD平分∠ABC,交AE于点D,连接CD.
(1)若AB=1,则BC的长=1;
(2)求证:四边形ABCD是菱形.

查看答案和解析>>

同步练习册答案