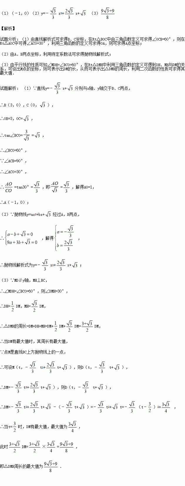
如图,直线y=﹣
x+
分别与x轴、y轴交于B、C两点,点A在x轴上,∠ACB=90°,抛物线y=ax2+bx+
经过A,B两点.
(1)求A、B两点的坐标;
(2)求抛物线的解析式;
(3)点M是直线BC上方抛物线上的一点,过点M作MH⊥BC于点H,作MD∥y轴交BC于点D,求△DMH周长的最大值.
![]()
科目:初中数学 来源:2017年初中毕业升学考试(山东泰安卷)数学(解析版) 题型:选择题
如图,在
中,
,
,
,点
从点
沿
向点
以
的速度运动,同时点
从点
沿
向点
以
的速度运动(点
运动到点
停止),在运动过程中,四边形
的面积最小值为( )
![]()
A.
B.
C.
D.
查看答案和解析>>
科目:初中数学 来源:2017年初中毕业升学考试(山东青岛卷)数学(解析版) 题型:选择题
小明家1至6月份的用水量统计如图所示,关于这组数据,下列说法错误的是( ).
A、众数是6吨 B、平均数是5吨 C、中位数是5吨 D、方差是![]()
查看答案和解析>>
科目:初中数学 来源:2017年初中毕业升学考试(山东临沂卷)数学(解析版) 题型:选择题
在
中,点
是边
上的点(与
、
两点不重合),过点
作
,
,分别交
,
于
、
两点,下列说法正确的是( )
![]()
A.若
,则四边形
是矩形
B.若
垂直平分
,则四边形
是矩形
C.若
,则四边形
是菱形
D.若
平分
,则四边形
是菱形
查看答案和解析>>
科目:初中数学 来源:2017年初中毕业升学考试(山东东营卷)数学(解析版) 题型:解答题
为大力弘扬“奉献、友爱、互助、进步”的志愿服务精神,传播“奉献他人、提升自我”的志愿服务理念,东营市某中学利用周末时间开展了“助老助残、社区服务、生态环保、网络文明”四个志愿服务活动(每人只参加一个活动),九年级某班全班同学都参加了志愿服务,班长为了解志愿服务的情况,收集整理数据后,绘制以下不完整的统计图,请你根据统计图中所提供的信息解答下列问题:
(1)求该班的人数;
(2)请把折线统计图补充完整;
(3)求扇形统计图中,网络文明部分对应的圆心角的度数;
(4)小明和小丽参加了志愿服务活动,请用树状图或列表法求出他们参加同一服务活动的概率.
![]()
查看答案和解析>>
科目:初中数学 来源:2017年初中毕业升学考试(山东东营卷)数学(解析版) 题型:填空题
为选拔一名选手参加全国中学生游泳锦标赛自由泳比赛,我市四名中学生参加了男子100米自由泳训练,他们成绩的平均数
及其方差s2如下表所示:
甲 | 乙 | 丙 | 丁 | |
| 1′05″33 | 1′04″26 | 1′04″26 | 1′07″29 |
S2 | 1.1 | 1.1 | 1.3 | 1.6 |
如果选拔一名学生去参赛,应派 去.
查看答案和解析>>
科目:初中数学 来源:2015-2016学年广东省肇庆市七年级上学期期末考试数学试卷(解析版) 题型:选择题
如图是一个正方体的表面展开图,则原正方体中与“建”字所在的面相对的面上标的字是:
![]()
A、美 B、丽 C、肇 D、庆
查看答案和解析>>
科目:初中数学 来源:重庆市 2017年九年级数学中考模拟试卷(含答案) 题型:单选题
如图,长4m的楼梯AB的倾斜角∠ABD为60°,为了改善楼梯的安全性能,准备重新建造楼梯,使其倾斜角∠ACD为45°,则调整后的楼梯AC的长为( )
![]()
A. 2
m B. 2
m C. (2
﹣2)m D. (2
﹣2)m
查看答案和解析>>
湖北省互联网违法和不良信息举报平台 | 网上有害信息举报专区 | 电信诈骗举报专区 | 涉历史虚无主义有害信息举报专区 | 涉企侵权举报专区
违法和不良信息举报电话:027-86699610 举报邮箱:58377363@163.com