精英家教网 > 初中数学 > 题目详情
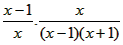
已知x=,求的值。
解:
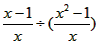
=
=
=
=
当x=时,原式=
练习册系列答案
相关习题

科目:初中数学 来源: 题型:

 已知,求的值。

 

查看答案和解析>>

科目:初中数学 来源: 题型:

化简求值:已知:,求的值

 

查看答案和解析>>

科目:初中数学 来源: 题型:

(本题4分)已知:,求的值.

查看答案和解析>>

科目:初中数学 来源:2010-2011学年福建省晋江市初三上学期末数学卷 题型:解答题

 

(1)计算:

(2)已知:,求的值.

 

查看答案和解析>>

科目:初中数学 来源:2006-2007年福建省福州市九年级第一学期期末考试数学卷 题型:解答题

(本题满分10分)

已知,求的值.

 

查看答案和解析>>

同步练习册答案