精英家教网 > 初中数学 > 题目详情

先阅读材料,然后回答问题.

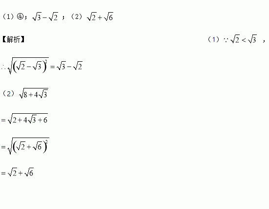
(1)小张同学在研究二次根式的化简时,遇到了一个问题:化简

经过思考,小张解决这个问题的过程如下:

在上述化简过程中,第 步出现了错误,化简的正确结果为

(2)请根据你从上述材料中得到的启发,化简

练习册系列答案
相关习题

科目:初中数学 来源:2017年北京丰台区初三统一练习(二)二模试卷及答案 题型:解答题

计算: .

查看答案和解析>>

科目:初中数学 来源:[首发]辽宁省丹东市2017届九年级第二次模拟考试数学试卷 题型:单选题

一元二次方程x2-3x=0的解是( )

A. 0 B. 3 C. 0,3 D. 0,-2

查看答案和解析>>

科目:初中数学 来源:2017年6月海南省三亚市中考最后冲刺模拟考试(二)数学试卷 题型:单选题

方程的解是(   )

A. - B. C. -4 D. 4

查看答案和解析>>

科目:初中数学 来源:2017年6月海南省三亚市中考最后冲刺模拟考试(二)数学试卷 题型:单选题

下列运算中,正确的是( )

A. B. C. D.

查看答案和解析>>

科目:初中数学 来源:[首发]泰州市2016~2017学年度第二学期质量检测八年级数学试卷 题型:解答题

解下列方程:

(1);(2)

查看答案和解析>>

科目:初中数学 来源:[首发]泰州市2016~2017学年度第二学期质量检测八年级数学试卷 题型:填空题

已知,则__________.

查看答案和解析>>

科目:初中数学 来源:[中学联盟]江苏省扬州市翠岗中学2017届九年级中考二模数学试卷 题型:解答题

在一个不透明的袋子中装有除颜色外其余均相同的5个小球,其中红球3个(记为A1,A2,A3),黑球2个(记为B1,B2).

(1)若先从袋中取出m(m>0)个红球,再从袋子中随机摸出1个球,将“摸出黑球”记为事件A,填空:①若A为必然事件,则m的值为 ②若A为随机事件,则m的取值为

(2)若从袋中随机摸出2个球,正好红球、黑球各1个,用树状图或列表法求这个事件的概率.

查看答案和解析>>

科目:初中数学 来源:2017年北京昌平初三数学二模试卷及答案 题型:单选题

如图,点A是反比例函数上的一个动点,连接OA,过点O作OB⊥OA,并且使OB=2OA,连接AB,当点A在反比函数图象上移动时,点B也在某一反比例函数图象上移动, 的值为( )

A. 2 B. -2 C. 4 D. -4

查看答案和解析>>

同步练习册答案