精英家教网 > 初中数学 > 题目详情

直线与y轴的交点坐标是( )

A.(4,0) B.(0,4) C.(﹣4,0) D.(0,﹣4)

练习册系列答案
相关习题

科目:初中数学 来源:江苏省盐城市2015-2016学年七年级下学期期末考试数学试卷 题型:解答题

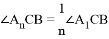
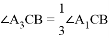
已知BM、CN分别是△的两个外角的角平分线,分别是的角平分线,如图①;分别是的三等分线(即),如图②;依此画图,分别是的n等分线(即),,且为整数.

(1)若,求的度数;

(2)设,请用和n的代数式表示的大小,并写出表示的过程;

(3)当时,请直接写出+的数量关系.

图① 图②

查看答案和解析>>

科目:初中数学 来源:吉林省2016-2017学年七年级下学期第二次月考数学试卷 题型:单选题

如图,在△ABC中,∠ACB=90°,∠A=50°,将其折叠,使点A落在边CB上A′处,折痕为CD,则的度数为( )

A. 40° B. 30° C. 20° D. 10°

查看答案和解析>>

科目:初中数学 来源:四川省外国语实验学校2016-2017学年八年级下学期第二学段考试数学A卷试卷 题型:填空题

如果函数是x的正比例函数,那么这个函数的解析式是______________.

查看答案和解析>>

科目:初中数学 来源:四川省外国语实验学校2016-2017学年八年级下学期第二学段考试数学A卷试卷 题型:单选题

一次函数与反比例函数在同一坐标系中的大致图象如下图所示,其中正确的是( )

A. B. C. D.

查看答案和解析>>

科目:初中数学 来源:四川省外国语实验学校2016-2017学年八年级下学期第二学段考试数学A卷试卷 题型:单选题

下列式子是分式方程的是( )

A. B.

C. D.

查看答案和解析>>

科目:初中数学 来源:河北省保定市高阳县2016-2017学年八年级下学期期末考试数学试卷 题型:解答题

甲、乙两城市为了解决空气质量污染问题,对城市及其周边的环境污染进行了综合治理.在治理的过程中,环保部门每月初对两城市的空气质量进行监测,连续10个月的空气污染指数如图所示.其中,空气污染指数≤50时,空气质量为优;50<空气污染指数≤100时,空气质量为良;100<空气污染指数≤150时,空气质量为轻微污染.

(1)填写下表:

平均数

方差

中位数

空气质量为优的次数

80

340

 1

1060

80

3

(2)从以下四个方面对甲、乙两城市的空气质量进行分析.

①从平均数和空气质量为优的次数来分析甲乙两城市的空气质量哪个好一些;

②从平均数和中位数来分析甲乙两城市的空气质量哪个好一些;

③从平均数和方差来分析甲乙两城市的空气质量变化情况;

④根据折线图上两城市空气污染指数的走势来分析甲乙两城市的空气质量哪个好一些。

查看答案和解析>>

科目:初中数学 来源:河北省保定市高阳县2016-2017学年八年级下学期期末考试数学试卷 题型:单选题

数据2、4、4、5、5、3、3、4的众数是( )

A. 1 B. 2 C. 3 D. 4

查看答案和解析>>

科目:初中数学 来源:河北省秦皇岛市2016-2017学年七年级下学期期末考试数学试卷 题型:填空题

在平面直角坐标系中,横坐标、纵坐标都为整数的点称为整点.观察图中每一个正方形(实线)四条边上的整点的个数,请你猜测由里向外第10个正方形(实线)四条边上的整点个数共有__________个。

查看答案和解析>>

同步练习册答案