精英家教网 > 初中数学 > 题目详情
(1)求下式中的x:9x2-4=0;
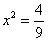
(2)计算:
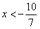
(3)求不等式的解集:
解:(1)由条件得:
故x=或x=-
(2)原式=9(-3)+5
=2;
(3)可化为:-3x+6>4x+16
∴-7x>10
练习册系列答案
相关习题

科目:初中数学 来源: 题型:

(1)求下式中的x:9x2-4=0;
(2)计算:
81
÷
3-27
+(
5
)2

查看答案和解析>>

科目:初中数学 来源: 题型:

(1)求下式中的x:9x2-4=0.(2)计算:
81
÷ 
3-27
+
5
2

(3)求不等式的解集:-
3
2
x+3>2(x+4)

查看答案和解析>>

科目:初中数学 来源:2011-2012学年江苏靖江市八年级上学期期末考试数学试卷(带解析) 题型:解答题

(1)求下式中的x:9x2-4="0."
(2)计算: .
(3) 求不等式的解集:

查看答案和解析>>

科目:初中数学 来源:2012年浙教版初中数学七年级上3.3立方根练习卷(解析版) 题型:解答题

求下式中的x:125x3=8

 

查看答案和解析>>

科目:初中数学 来源:2013届江苏靖江市八年级上学期期末考试数学试卷(解析版) 题型:解答题

(1)求下式中的x:9x2-4=0.

 (2)计算: .

 (3) 求不等式的解集:

 

查看答案和解析>>

同步练习册答案