某地去年财政收入取得重大突破,地方公共财政收入用四舍五入取近似值后为27.39亿元,那么这个数值( )
A. 精确到亿位 B. 精确到百分位
C. 精确到千万位 D. 精确到百万位
科目:初中数学 来源:天津市 2017年九年级数学中考模拟试卷 题型:单选题
三角形两边长分别为3和6,第三边是方程x2-13x+36=0的根,则三角形的周长为( )
A. 13 B. 15 C. 18 D. 13或18
查看答案和解析>>
科目:初中数学 来源:安徽省蚌埠市、新城实验、慕远)2016-2017学年八年级上学期期中联考数学试卷 题型:填空题
点M(3,-1)到
轴距离是__________,到
轴距离是_____________.
查看答案和解析>>
科目:初中数学 来源:浙江省杭州市萧山区城区五校2016-2017学年七年级上学期期中考试数学试卷 题型:解答题
把下列各数填入相应的横线上:
-2.5,10,0.22,0,
,-20,+9.78,+68,0.45,+
.
负整数: ;
负分数: ;
非负有理数: .
查看答案和解析>>
科目:初中数学 来源:浙江省杭州市萧山区城区五校2016-2017学年七年级上学期期中考试数学试卷 题型:单选题
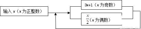
在数学活动课上,同学们利用如图的程序进行计算,发现无论x取任何正整数,结果都会进入循环,下面选项一定不是该循环的是( )
![]()
A. 4,2,1 B. 2,1,4 C. 1,4,2 D. 2,4,1
查看答案和解析>>
科目:初中数学 来源:安徽省蚌埠市、十二中、一实小、三实小)2016-2017学年八年级上学期期中联考数学试卷 题型:解答题
为发展旅游经济,我市某景区对门票采用灵活的售票方法吸引游客。门票定价为50元/人,,非节假日打a折售票,节假日按团队人数分段定价售票,即m人以下(含m人)的团队按原价售票,超过m人部分的游客打b折售票。设某旅游团人数为x人,非节假日购票款为y1(元),节假日购票款为y2(元)。y1、y2与x之间的函数图像如图
所示。
观察图像可知:a=__________;b=_________; m=____________;
(1)求出y1,y2与x之间的函数关系式;
(2)某旅行社导游王娜于5月1日带A团,5月20日(非节假日)带B团都到该景区旅游,共付门票款1900元,A,B两个团队合计50人,求A,B两个团队各有多少人?
![]()
查看答案和解析>>
科目:初中数学 来源:安徽省蚌埠市、十二中、一实小、三实小)2016-2017学年八年级上学期期中联考数学试卷 题型:填空题
已知一等腰三角形的周长为17cm,一边长为7cm,则其腰长为____________.
查看答案和解析>>
科目:初中数学 来源:江苏省盐城市2016-2017学年八年级(上)期中数学试卷 题型:解答题
如图,已知△ABC的三个顶点在格点上.
(1)作出与△ABC关于x轴对称的图形△A1B1C1;
(2)求出A1,B1,C1三点坐标;
(3)求△ABC的面积.
![]()
查看答案和解析>>
科目:初中数学 来源:江苏省盐城市2016-2017学年八年级(上)期中数学试卷 题型:单选题
若(x﹣3)(x+4)=x2+px+q,那么p、q的值是( )
A. p=1,q=﹣12 B. p=﹣1,q=12 C. p=7,q=12 D. p=7,q=﹣12
查看答案和解析>>
湖北省互联网违法和不良信息举报平台 | 网上有害信息举报专区 | 电信诈骗举报专区 | 涉历史虚无主义有害信息举报专区 | 涉企侵权举报专区
违法和不良信息举报电话:027-86699610 举报邮箱:58377363@163.com