精英家教网 > 初中数学 > 题目详情

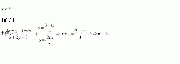
(7分) 已知方程组 的解x、y满足x+y>0,求m的取值范围.

练习册系列答案
相关习题

科目:初中数学 来源:2017届江苏省南通市九年级下学期第一次月考数学试卷(解析版) 题型:解答题

阅读:我们约定,在平面直角坐标系中,经过某点且平行于坐标轴或平行于两坐标轴夹角平分线的直线,叫该点的“特征线”.例如,点M(1,3)的特征线有:x=1,y=3,y=x+2,y=-x+4.

问题与探究:如图,在平面直角坐标系中有正方形OABC,点B在第一象限,A、C分别在x轴和y轴上,抛物线 经过B、C两点,顶点D在正方形内部.

(1)直接写出点D(m,n)所有的特征线;

(2)若点D有一条特征线是y=x+1,求此抛物线的解析式;

(3)点P是AB边上除点A外的任意一点,连接OP,将△OAP沿着OP折叠,点A落在点A′的位置,当点A′在平行于坐标轴的D点的特征线上时,满足(2)中条件的抛物线向下平移多少距离,其顶点落在OP上?

查看答案和解析>>

科目:初中数学 来源:2017届江苏省南通市九年级下学期第一次月考数学试卷(解析版) 题型:解答题

某校开展了“我读书,我快乐”为主题的调查活动,其中七年级二班全体同学一个学期平均一天阅读课外书籍所用时间的情况如下表:

时间(小时)

0.5

1

1.5

2

5

人数(名)

7人

18人

12人

3人

由于填表的同学不小心把墨水滴在了表上,致使表中数据不完整,但知道所用时间为1小时的人数为全班人数的36%.结合上表回答下列问题:

(1)七年级二班共有多少人?

(2)学生所用时间的众数和中位数分别为多少小时?

(3)如果把该班的学生的所用时间情况绘成扇形统计图,则所用时间为2小时的人数所对应的扇形圆心角为多少度?

查看答案和解析>>

科目:初中数学 来源:2017届江苏省南通市九年级下学期第一次月考数学试卷(解析版) 题型:填空题

若式子在实数范围内有意义,则x的取值范围是________.

查看答案和解析>>

科目:初中数学 来源:2017届江苏省南通市九年级下学期第一次月考数学试卷(解析版) 题型:单选题

对甲、乙两同学进行5次100米短跑的测试,计算他们的测试成绩得: =,S2甲=0.25,S2乙=0.026,下列说法正确的是 ( )

A. 甲短跑成绩比乙好 B. 乙短跑成绩比甲好

C. 甲比乙短跑成绩稳定 D. 乙比甲短跑成绩稳定

查看答案和解析>>

科目:初中数学 来源:2017届江苏省九年级下学期自主检测一数学试卷(解析版) 题型:填空题

,则= _______.

查看答案和解析>>

同步练习册答案