精英家教网 > 初中数学 > 题目详情

如图,四边形ABCD是正方形,在AB的延长线上取一点E,连接EC,过点C作CF⊥EC交AD于F.

(1)求证:EC=FC.

(2)若G、M分别是AB、CD上一动点,连接GM.H是GM上的中点,连接BH,当G、M运动到某一特殊位置时得到BH=BG+CM,此时∠ABH的度数是多少?请说明理由.

(3)在(2)的条件下,若BG=1,MC=,连接AH.求出四边形△AHMD的面积.

练习册系列答案
相关习题

科目:初中数学 来源:江苏省泰兴市2016-2017学年八年级下学期期末考试数学试卷 题型:填空题

已知点(-1,y1)、(2,y2)、(,y3)在反比例函数的图像上,则y1、y2、y3的大小关系是__________ (用“>”连接)

查看答案和解析>>

科目:初中数学 来源:四川省巴中市南江县2016-2017学年八年级下学期期末考试数学试卷 题型:解答题

已知:如图,点E是正方形ABCD的边CD上一点,点F是CB的延长线上一点,且EA⊥AF。

求证: DE=BF。

查看答案和解析>>

科目:初中数学 来源:四川省巴中市南江县2016-2017学年八年级下学期期末考试数学试卷 题型:填空题

用科学记数法表示:-0.0000000017=__。

查看答案和解析>>

科目:初中数学 来源:四川省巴中市南江县2016-2017学年八年级下学期期末考试数学试卷 题型:单选题

在同一平面直角坐标系中,函数<0)的图象大致是(   ).

A. B. C. D.

查看答案和解析>>

科目:初中数学 来源:四川省金堂县2016-2017学年八年级下学期期末考试数学试卷 题型:填空题

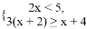
有5张正面分别标有数字-2,0,2,4,6的不透明卡片,它们除数不同外其余全部相同,先将它们背面朝上,洗匀后从中任取一张,将该卡片上的数字记为,则使关于不等式组有实数解的概率为_______;

查看答案和解析>>

科目:初中数学 来源:四川省金堂县2016-2017学年八年级下学期期末考试数学试卷 题型:解答题

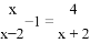
(1) 解不等式组: .

(2)解方程:.

查看答案和解析>>

科目:初中数学 来源:四川省巴中市南江县2016-2017学年七年级下学期期末考试数学试卷 题型:解答题

试确定实数a的取值范围,使关于x的不等式组恰有两个整数解.

查看答案和解析>>

科目:初中数学 来源:江苏省盐城市2015-2016学年七年级下学期期末考试数学试卷 题型:填空题

用不等式表示“的2倍与4的和是负数”:_____.

查看答案和解析>>

同步练习册答案