精英家教网 > 初中数学 > 题目详情
如图,△ABC中,EF∥BC,FD∥AB,AE=18,BE=12,CD=14,求线段EF的长.
解:∵EF∥BC,FD∥AB,
∴四边形EBDF是平行四边形,
∴EF=BD,DF=BE=12,
∵AE=18,BE=12,
∴AB=30,
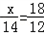
设EF=x,
∵EF∥BC,FD∥AB,
∴△AEF∽△ABC∽△FDC,
,即
解得x=21,即EF=21.
练习册系列答案
相关习题

科目:初中数学 来源: 题型:

26、已知:如图,△ABC中,点D在AC的延长线上,CE是∠DCB的角平分线,且CE∥AB.
求证:∠A=∠B.

查看答案和解析>>

科目:初中数学 来源: 题型:

27、已知:如图,△ABC中,∠BAC=60°,D、E两点在直线BC上,连接AD、AE.
求:∠1+∠2+∠3+∠4.

查看答案和解析>>

科目:初中数学 来源: 题型:

27、如图,△ABC中,AD⊥BC于D,DN⊥AC于N,DM⊥AB于M
求证:∠ANM=∠B.

查看答案和解析>>

科目:初中数学 来源: 题型:

14、如图,△ABC中,∠BAC=120°,AD⊥BC于D,且AB+BD=DC,则∠C的大小是(  )

查看答案和解析>>

科目:初中数学 来源: 题型:

精英家教网已知,如图,△ABC中,点D在BC上,且∠1=∠C,∠2=2∠3,∠BAC=70°.
(1)求∠2的度数;
(2)若画∠DAC的平分线AE交BC于点E,则AE与BC有什么位置关系,请说明理由.

查看答案和解析>>

同步练习册答案