精英家教网 > 初中数学 > 题目详情

下列方程组中,属于二元一次方程组的是 ( )

A. B. C. D.

练习册系列答案
相关习题

科目:初中数学 来源:江苏省2017届九年级下学期第三次模拟考试数学试卷 题型:解答题

解不等式组 ,并求出的最小整数解.

查看答案和解析>>

科目:初中数学 来源:山东省淄博市2016-2017学年七年级下学期期中考试数学试卷 题型:单选题

下列能平方差公式计算的式子是(  )

A. (a﹣b)(b﹣a) B. (﹣x+1)(x﹣1)

C. (﹣a﹣1)(a+1) D. (﹣x﹣y)(﹣x+y)

查看答案和解析>>

科目:初中数学 来源:山东省淄博市2016-2017学年八年级下学期期中考试数学试卷 题型:填空题

方程ax-y=3的解是则a的值是_______.

查看答案和解析>>

科目:初中数学 来源:山东省淄博市2016-2017学年八年级下学期期中考试数学试卷 题型:选择题

如图,在△ABC中,∠C=70°,若沿图中虚线截去∠C,则∠1+∠2等于(  )

A. 360° B. 250° C. 180° D. 140°

查看答案和解析>>

科目:初中数学 来源:江苏省泰兴市2016-2017学年七年级下学期期末考试数学试卷 题型:解答题

解下列方程组或不等式(组):

(1)解方程组

(2)解不等式组,并把解集在数轴上表示出来.

查看答案和解析>>

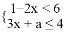
科目:初中数学 来源:江苏省泰兴市2016-2017学年七年级下学期期末考试数学试卷 题型:填空题

已知关于的不等式组只有两个整数解,则的取值范围____________.

查看答案和解析>>

科目:初中数学 来源:江苏省泰兴市2016-2017学年七年级下学期期末考试数学试卷 题型:解答题

如图在每个小正方形边长为1的方格纸中,△ABC的顶点都在方格纸格点上.

(1)△ABC的面积为______;

(2)将△ABC经过平移后得到△A′B′C′,图中标出了点B的对应点B′,补全△A′B′C′;

(3)若连接AA′,BB′,则这两条线段之间的关系是______;

(4)在图中画出△ABC的高CD.

查看答案和解析>>

科目:初中数学 来源:江苏省扬州市2016-2017学年七年级下学期第一次月考数学试卷 题型:解答题

已知,求①的值; ② 的值

查看答案和解析>>

同步练习册答案