精英家教网 > 初中数学 > 题目详情
如图,已知⊙O的直径AB垂直于弦CD于点E,过C点作CG∥AD交AB的延长线于点G,连接CO并延长交AD于点F,且CF⊥AD。

(1)试问:CG是⊙O的切线吗?说明理由;
(2)请证明:E是OB的中点;
(3)若AB=8,求CD的长。
解:(1)CG是⊙O的切线;
理由:∵





∴CG是⊙O的切线;
(2)证明:连接AC,如图:

且CF,AE过圆心O

∴AC=AD=CD
∴△ACD是等边三角形
∴∠D=60°
∴∠FCD=30°
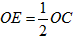
在Rt△COE中


∴点E为OB的中点;
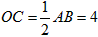
(3)∵AB=8

又∵BE=OE
∴OE=2


练习册系列答案
相关习题

科目:初中数学 来源: 题型:

2、如图,已知⊙O的直径AB⊥弦CD于点E,下列结论中一定正确的是(  )

查看答案和解析>>

科目:初中数学 来源: 题型:

精英家教网如图,已知半圆的直径AB=4cm,点C、D是这个半圆的三等分点,则弦AC、AD和
CD
围成的阴影部分面积为
 
cm2

查看答案和解析>>

科目:初中数学 来源: 题型:

22、如图,已知⊙O的直径为10,P为⊙O内一点,且OP=4,则过点P且长度小于6的弦共有
0
条.

查看答案和解析>>

科目:初中数学 来源: 题型:

如图,已知⊙O的直径AB与弦AC的夹角∠CAB=27°,过点C作⊙O的切线交AB延长线于点D,则∠ADC的度数为(  )

查看答案和解析>>

科目:初中数学 来源: 题型:

(2010•邢台二模)如图,已知⊙O的直径AB与弦AC的夹角为31°,过C点的切线PC与AB的延长线交于点P,则∠P等于(  )

查看答案和解析>>

同步练习册答案