精英家教网 > 初中数学 > 题目详情

在Rt△ABC中,∠C=90°,AC=20cm,BC=15cm,现有动点P从点A出发,沿AC向点C方向运动,动点Q从点C出发,沿线段CB也向点B方向运动,如果点P的速度是4cm/秒,点Q的速度是2cm/秒,它们同时出发,当有一点到达所在线段的端点时,就停止运动.设运动时间为t秒.求:

(1)当t=3秒时,这时,P,Q两点之间的距离是多少?

(2)若△CPQ的面积为S,求S关于t的函数关系式.

(3)当t为多少秒时,以点C,P,Q为顶点的三角形与△ABC相似?

练习册系列答案
相关习题

科目:初中数学 来源:2#240693#3#7#17#2017#辽宁省营口市2017届九年级中考模拟数学试卷#17#1 题型:填空题

“赵爽弦图”是由四个全等的直角三角形与中间的一个小正方形拼成的一个大正方形(如图所示).小亮随机地向大正方形内部区域投飞镖.若直角三角形两条直角边的长分别是 2和1,则飞镖投到小正方形(阴影)区域的概率是 .

查看答案和解析>>

科目:初中数学 来源:2#240933#2#3#6#2017#广东省河源市2016-2017学年八年级下学期期末考试数学试卷#6#1 题型:单选题

下列分式约分正确的是( )

A. B. C. D.

查看答案和解析>>

科目:初中数学 来源:2#240821#1#5#5#2017#江苏省如皋市2016-2017学年七年级下学期期中考试数学试卷#5#1 题型:填空题

49的算术平方根是

查看答案和解析>>

科目:初中数学 来源:2#240821#1#5#5#2017#江苏省如皋市2016-2017学年七年级下学期期中考试数学试卷#5#1 题型:选择题

如图,在下列条件中,不能判定直线a与b平行的是( )

A.∠1=∠2 B.∠2=∠3 C.∠3=∠5 D.∠3+∠4=180°

查看答案和解析>>

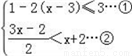
科目:初中数学 来源:2#240803#3#7#3#2017#天津市西青区 2017年 九年级数学中考预测题(含答案)#3#3 题型:解答题

解不等式组:,并把解集在数轴上表示出来.

查看答案和解析>>

科目:初中数学 来源:2#240803#3#7#3#2017#天津市西青区 2017年 九年级数学中考预测题(含答案)#3#3 题型:单选题

已知二次函数y=ax2+bx+c的图象如图所示.

下列结论:①abc>0;②2a﹣b<0;③4a﹣2b+c<0;④(a+c)2<b2其中正确的个数有(  )

A. 1 B. 2 C. 3 D. 4

查看答案和解析>>

科目:初中数学 来源:2#240782#1#5#11#2017#河北省沧州市南皮县2016-2017学年度七年级下学期期中考试数学试卷#11#1 题型:解答题

(1)(代入法) (2)(加减法)

查看答案和解析>>

科目:初中数学 来源:2#240776#1#5#7#2017#浙江省义乌市2016-2017学年七年级下学期期中教学质量检测数学试卷#7#1 题型:单选题

下列图形中,∠1与∠2不是同位角的是( )

A. B. C. D.

查看答案和解析>>

同步练习册答案