精英家教网 > 初中数学 > 题目详情

“赵爽弦图”是由四个全等的直角三角形与中间的一个小正方形拼成的一个大正方形(如图所示).小亮随机地向大正方形内部区域投飞镖.若直角三角形两条直角边的长分别是 2和1,则飞镖投到小正方形(阴影)区域的概率是 .

练习册系列答案
相关习题

科目:初中数学 来源:2#240758#3#7#16#2017#江西省等学校招生考试信息卷--数学试卷#16#3 题型:填空题

据了解2016年11月12日凌晨双“十一”天猫的总成交金额达到1207亿元,1207亿元用科学记数法可表示为________元.

查看答案和解析>>

科目:初中数学 来源:2#240732#3#7#23#2017#甘肃兰州市 2017年 九年级数学 中考模拟试卷(含答案)#23#1 题型:解答题

计算:sin60°+|﹣5|﹣ (4015﹣π)0+(﹣1)2017+()﹣1.

查看答案和解析>>

科目:初中数学 来源:2#240732#3#7#23#2017#甘肃兰州市 2017年 九年级数学 中考模拟试卷(含答案)#23#1 题型:单选题

能判定四边形是平行四边形的条件是( )

A. 一组对边平行,另一组对边相等; B. 一组对边相等,一组邻角相等;

C. 一组对边平行,一组邻角相等; D. 一组对边平行,一组对角相等。

查看答案和解析>>

科目:初中数学 来源:2#240693#3#7#17#2017#辽宁省营口市2017届九年级中考模拟数学试卷#17#1 题型:解答题

如图,在⊙O的内接四边形ACDB中,AB为直径,AC:BC=1:2,点D为的中点,BE⊥CD垂足为E.

(1)求∠BCE的度数;

(2)求证:D为CE的中点;

(3)连接OE交BC于点F,若AB=,求OE的长度.

查看答案和解析>>

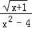
科目:初中数学 来源:2#240693#3#7#17#2017#辽宁省营口市2017届九年级中考模拟数学试卷#17#1 题型:填空题

函数y=的自变量x的取值范围是 .

查看答案和解析>>

科目:初中数学 来源:2#240693#3#7#17#2017#辽宁省营口市2017届九年级中考模拟数学试卷#17#1 题型:单选题

如图,矩形ABCD中,AB=3,AD=1,AB在数轴上,若以点A为圆心,对角线AC的长为半径作

弧 交数轴于点M,则点M表示的数为(  )

A. 2 B. C. D.

查看答案和解析>>

科目:初中数学 来源:2#240933#2#3#6#2017#广东省河源市2016-2017学年八年级下学期期末考试数学试卷#6#1 题型:填空题

一次函数y=kx+b的图象如下左图所示,则不等式kx+b>0的解集是 ____________.

查看答案和解析>>

科目:初中数学 来源:2#240803#3#7#3#2017#天津市西青区 2017年 九年级数学中考预测题(含答案)#3#3 题型:解答题

在Rt△ABC中,∠C=90°,AC=20cm,BC=15cm,现有动点P从点A出发,沿AC向点C方向运动,动点Q从点C出发,沿线段CB也向点B方向运动,如果点P的速度是4cm/秒,点Q的速度是2cm/秒,它们同时出发,当有一点到达所在线段的端点时,就停止运动.设运动时间为t秒.求:

(1)当t=3秒时,这时,P,Q两点之间的距离是多少?

(2)若△CPQ的面积为S,求S关于t的函数关系式.

(3)当t为多少秒时,以点C,P,Q为顶点的三角形与△ABC相似?

查看答案和解析>>

同步练习册答案