精英家教网 > 初中数学 > 题目详情

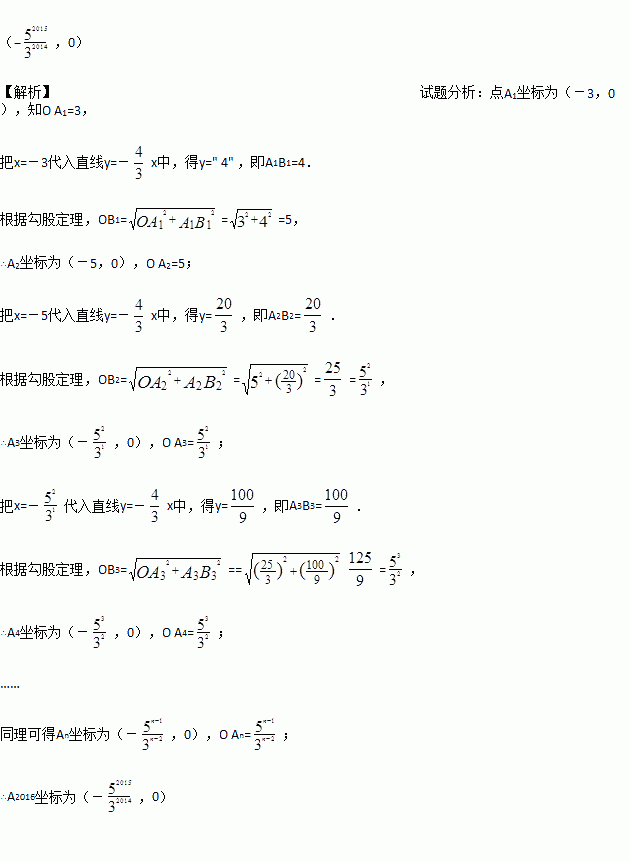
如图,直线l:y=-x,点A1坐标为(-3,0). 过点A1作x轴的垂线交直线l于点B1,以原点O为圆心,OB1长为半径画弧交x轴负半轴于点A2,再过点A2作x轴的垂线交直线l于点B2,以原点O为圆心,OB2长为半径画弧交x轴负半轴于点A3,…,按此做法进行下去,点A2016的坐标为___________

练习册系列答案
相关习题

科目:初中数学 来源:广西北海市2016-2017学年八年级下学期期末考试数学试卷 题型:填空题

已知点A(-1,0),B(2,0),则线段AB的长为____________.

查看答案和解析>>

科目:初中数学 来源:安徽合肥市 2017年九年级数学中考模拟试卷(含答案) 题型:解答题

如图,已知反比例函数y1=kx-1和一次函数y2=ax+b的图象相交于点A和点D,且点A的横坐标为1,点D的纵坐标为-1.过点A作AB⊥x轴于点B,△AOB的面积为1.

(1)求反比例函数和一次函数的解析式.

(2)若一次函数y2=ax+b的图象与x轴相交于点C,求∠ACO的度数.

(3)结合图象直接写出:当y1>y2时,x的取值范围.

查看答案和解析>>

科目:初中数学 来源:安徽合肥市 2017年九年级数学中考模拟试卷(含答案) 题型:单选题

下列运算正确的是( )

A. 3a2+5a2=8a4 B. a6•a2=a12 C. (a+b)2=a2+b2 D. (a2+1)0=1

查看答案和解析>>

科目:初中数学 来源:福建省2017届中考数学专题复习测试卷:规律探索 题型:填空题

一列数,… 满足条件: (n≥2,且n为整数),则=

查看答案和解析>>

科目:初中数学 来源:湖北省孝昌县2015-2016学年度下学期期末质量检测七年级数学试卷 题型:解答题

某蔬菜经营户从蔬菜批发市场批发蔬菜进行零售,部分蔬菜批发价格与零售价格如表:

蔬菜品种

西红柿

青椒

西兰花

豆角

批发价(元/㎏)

3.6

5.4

8

4.8

零售价(元/㎏)

5.4

8.4

14

7.6

请解答下列问题:

(1)第一天,该经营户批发西红柿和西兰花两种蔬菜共300㎏,用去了1520元钱,这两种蔬菜当天全部售完一共赚了多少元钱?

(2)第二天,该经营户用1520元仍然批发西红柿和西兰花,要想当天全部售完后所赚钱数不少于1050元,则该经营户最多能批发西红柿多少㎏?

查看答案和解析>>

科目:初中数学 来源:湖北省孝昌县2015-2016学年度下学期期末质量检测七年级数学试卷 题型:解答题

解方程组或不等式组.

(1) (2)

查看答案和解析>>

科目:初中数学 来源:九年级数学(浙教版)上册同步练习:1.2 二次函数的图象(二) 题型:解答题

如图,在平面直角坐标系xOy中,抛物线y=x2+与y轴相交于点A,点B与点O关于点A对称

(1)填空:点B的坐标是

(2)过点B的直线y=kx+b(其中k<0)与x轴相交于点C,过点C作直线l平行于y轴,P是直线l上一点,且PB=PC,求线段PB的长(用含k的式子表示),并判断点P是否在抛物线上,说明理由;

(3)在(2)的条件下,若点C关于直线BP的对称点C′恰好落在该抛物线的对称轴上,求此时点P的坐标.

查看答案和解析>>

科目:初中数学 来源:浙江省2017届九年级上学期第二次月考数学试卷 题型:填空题

如图,n+1个上底、两腰长皆为1,下底长为2的等腰梯形的下底均在同一直线上,设四边形P1M1N1N2面积为S1,四边形P2M2N2N3的面积为S2,……,四边形PnMnNnNn+1的面积记为Sn,则Sn=

查看答案和解析>>

同步练习册答案