精英家教网 > 初中数学 > 题目详情

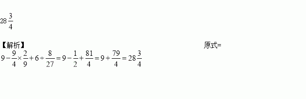
(﹣3)2﹣()2×+6÷|﹣|3.

练习册系列答案
相关习题

科目:初中数学 来源:江西南昌市 2017年九年级数学中考模拟试卷(含答案) 题型:填空题

如图,在平行四边形ABCD中,E、F分别是边AD、BC的中点,AC分别交BE、DF于点M、N. 给出下列结论:①△ABM≌△CDN;②AM=AC;③DN=2NF;④S△AMB=S△ABC.其中正确的结论是_______________(只填番号)

查看答案和解析>>

科目:初中数学 来源:海南省海口市 2017年九年级数学中考模拟试卷(含答案) 题型:解答题

在平面直角坐标系中,O是坐标原点,?ABCD的顶点A的坐标为(﹣2,0),点D的坐标为(0,2),点B在x轴的正半轴上,点E为线段AD的中点.

(Ⅰ)如图1,求∠DAO的大小及线段DE的长;

(Ⅱ)过点E的直线l与x轴交于点F,与射线DC交于点G.连接OE,△OEF′是△OEF关于直线OE对称的图形,记直线EF′与射线DC的交点为H,△EHC的面积为3

①如图2,当点G在点H的左侧时,求GH,DG的长;

②当点G在点H的右侧时,求点F的坐标(直接写出结果即可).

查看答案和解析>>

科目:初中数学 来源:海南省海口市 2017年九年级数学中考模拟试卷(含答案) 题型:单选题

2013年12月2日,“嫦娥三号”从西昌卫星发射中心发射升空,并于12月14日在月球上成功实施软着陆.月球距离地球平均为38万公里,将数38万用科学计数法表示,其结果( )

A. 3.8×104 B. 38×104 C. 3.8×105 D. 3.8×106

查看答案和解析>>

科目:初中数学 来源:海南临高县创新学校 2017年九年级数学中考模拟试卷(含答案) 题型:解答题

在平面直角坐标系中,O是坐标原点,?ABCD的顶点A的坐标为(﹣2,0),点D的坐标为(0,2),点B在x轴的正半轴上,点E为线段AD的中点.

(Ⅰ)如图1,求∠DAO的大小及线段DE的长;

(Ⅱ)过点E的直线l与x轴交于点F,与射线DC交于点G.连接OE,△OEF′是△OEF关于直线OE对称的图形,记直线EF′与射线DC的交点为H,△EHC的面积为3

①如图2,当点G在点H的左侧时,求GH,DG的长;

②当点G在点H的右侧时,求点F的坐标(直接写出结果即可).

查看答案和解析>>

科目:初中数学 来源:海南临高县创新学校 2017年九年级数学中考模拟试卷(含答案) 题型:单选题

如图,将宽为1cm的纸条沿BC折叠,使∠CAB=45°,则折叠后重叠部分的面积为( )

A. cm2 B. cm2 C. cm2 D. cm2

查看答案和解析>>

科目:初中数学 来源:海南临高县创新学校 2017年九年级数学中考模拟试卷(含答案) 题型:单选题

下列说法:①若a≠0,m,n是任意整数,则am.an=am+n; ②若a是有理数,m,n是整数,且mn>0,则(am)n=amn;③若a≠b且ab≠0,则(a+b)0=1;④若a是自然数,则a-3.a2=a-1.其中,正确的是( ).

A. ① B. ①② C. ②③④ D. ①②③④

查看答案和解析>>

科目:初中数学 来源:浙江省2016-2017学年七年级上学期第二次月考数学试卷 题型:填空题

,则代数式的值是________。

查看答案和解析>>

科目:初中数学 来源:浙江省嵊州市、石璜镇中学2016-2017学年八年级下学期期中联考数学试卷 题型:单选题

使二次根式有意义的x的取值范围是( )

A. x≠1 B. x>1 C. x≤1 D. x≥1

查看答案和解析>>

同步练习册答案