精英家教网 > 初中数学 > 题目详情

某商店代销一批季节性服装,每套代销成本40元,第一个月每套销售定价为52元时,可售出180套;应市场变化需上调第一个月的销售价,预计销售定价每增加1元,销售量将减少10套.

(1)若设第二个月的销售定价每套增加x元,填写表格:

 时间

 第一个月

第二个月

 销售定价(元)

    

      

 销售量(套)

      

      

(2)若商店预计要在第二个月的销售中获利2000元,则第二个月销售定价每套多少元?

(3)若要使第二个月利润达到最大,应定价为多少元?此时第二个月的最大利润是多少?

练习册系列答案
相关习题

科目:初中数学 来源:浙江省杭州市下城区2016-2017学年七年级上学期期中考试数学试卷 题型:解答题

(1)写出两个负数,使它们的差为 -5,并写出具体算式.

(2)说说“一个无理数与一个有理数的积一定是无理数”是否正确,请举例说明。

(3)在图的4×4方格中,画一个面积为8的格点正方形(四个顶点都在方格的顶点上);并把图中的数轴补充完整,然后用圆规在数轴上表示实数.

查看答案和解析>>

科目:初中数学 来源:辽宁省葫芦岛市海滨九年一贯制学校2017届九年级上学期期中考试数学试卷 题型:单选题

已知二次函数y=a(x+1)2﹣b(a≠0)有最小值1,则a,b的大小关系为( )

A. a>b B. a<b C. a=b D. 不能确定

查看答案和解析>>

科目:初中数学 来源:河南省2017届九年级上学期期中考试数学试卷 题型:单选题

如图是二次函数y=ax2+bx+c图象的一部分,图象过点A(-3,0),对称轴为x=-1.给出四个结论:①b2 > 4ac;②2a+b=0;③a-b+c=0;④5a < b.其中正确结论有(  )

A. 1个 B. 2个 C. 3个 D. 4个

查看答案和解析>>

科目:初中数学 来源:河南省2017届九年级上学期期中考试数学试卷 题型:单选题

抛物线y=2(x-3)2+1的顶点坐标是( )

A. (3,1) B. ( 3,-1) C. (-3,1) D. (-3,-1)

查看答案和解析>>

科目:初中数学 来源:广东省东莞市堂星晨学校2017届九年级上学期12月月考(期末模拟)数学试卷 题型:填空题

小明把如图所示的矩形纸板ABCD挂在墙上,E为AD中点,且∠ABD=60°,并用它玩飞镖游戏(每次飞镖均落在纸板上),击中阴影区域的概率是________.

查看答案和解析>>

科目:初中数学 来源:广东省东莞市堂星晨学校2017届九年级上学期12月月考(期末模拟)数学试卷 题型:单选题

一个不透明的盒子中装有3个红球,2个黄球和1个绿球,这些球除了颜色外无其他差别,从中随机摸出一个小球,恰好是黄球的概率为(  )

A. B. C. D.

查看答案和解析>>

科目:初中数学 来源:江苏省仪征市2017届九年级上学期第二次数学试卷 题型:解答题

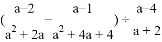
先化简,再求值:

,其中a满足.

查看答案和解析>>

科目:初中数学 来源:2017年浙江省杭州市中考数学仿真试卷(二) 题型:单选题

下列计算正确的是(  )

A. 2x+x=2x2 B. 2x2﹣x2=2 C. 2x2•3x2=6x4 D. 2x6÷x2=2x3

查看答案和解析>>

同步练习册答案