精英家教网 > 初中数学 > 题目详情

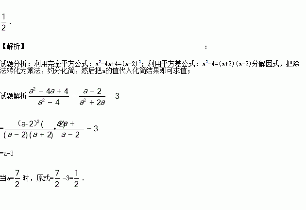
先化简,在求值:,其中a=.

练习册系列答案
相关习题

科目:初中数学 来源:2017年初中毕业升学考试(山东日照卷)数学(解析版) 题型:解答题

如图,已知BA=AE=DC,AD=EC,CE⊥AE,垂足为E.

(1)求证:△DCA≌△EAC;

(2)只需添加一个条件,即 ,可使四边形ABCD为矩形.请加以证明.

查看答案和解析>>

科目:初中数学 来源:2017年初中毕业升学考试(山东菏泽卷)数学(解析版) 题型:解答题

正方形的边长为,点分别是线段上的动点,连接并延长,交边,过,垂足为,交边于点.

(1)如图1,若点与点重合,求证:

(2)如图2,若点从点出发,以的速度沿向点运动,同时点从点出发,以的速度沿向点运动,运动时间为.

①设,求关于t的函数表达式;

②当时,连接,求的长.

查看答案和解析>>

科目:初中数学 来源:2017年初中毕业升学考试(山东菏泽卷)数学(解析版) 题型:选择题

如图,函数的图象相交于点,则关于的不等式的解集是( )

A. B. C. D.

查看答案和解析>>

科目:初中数学 来源:2017年初中毕业升学考试(山东德州卷)数学(解析版) 题型:解答题

如图1,在矩形纸片ABCD中,AB=3cm,AD=5cm,折叠纸片使B点落在边AD上的E处,折痕为PQ.过点E作EF∥AB交PQ于F,连接BF,

(1)求证:四边形BFEP为菱形;

(2)当E在AD边上移动时,折痕的端点P,Q也随着移动.

①当点Q与点C重合时,(如图2),求菱形BFEP的边长;

②如限定P,Q分别在BA,BC上移动,求出点E在边AD上移动的最大距离.

查看答案和解析>>

科目:初中数学 来源:2017年初中毕业升学考试(山东德州卷)数学(解析版) 题型:填空题

计算:

查看答案和解析>>

科目:初中数学 来源:2017年初中毕业升学考试(山东德州卷)数学(解析版) 题型:选择题

下列运算正确的是( )

A. B. C. D.

查看答案和解析>>

科目:初中数学 来源:2017年初中毕业升学考试(上海卷)数学(解析版) 题型:填空题

已知一个二次函数的图象开口向上,顶点坐标为(0,﹣1 ),那么这个二次函数的解析式可以是_________.(只需写一个)

查看答案和解析>>

科目:初中数学 来源:2017年初中毕业升学考试(山西卷)数学(解析版) 题型:解答题

从共享单车,共享汽车等共享出行到共享充电宝,共享雨伞等共享物品,各式各样的共享经济模式在各个领域迅速普及应用,越来越多的企业与个人成为参与者与受益者.根据国家信息中心发布的《中国分享经济发展报告2017》显示,2016年我国共享经济市场交易额约为34520亿元,比上年增长103%;超6亿人参与共享经济活动,比上年增加约1亿人.

下图是源于该报告中的中国共享经济重点领域市场规模统计图:

(1)请根据统计图解答下列问题:

①图中涉及的七个重点领域中,2016年交易额的中位数是_________亿元.

②请分别计算图中的“知识技能”和“资金”两个重点领域从2015年到2016年交易额的增长率(精确到1%),并就这两个重点领域中的一个分别从交易额和增长率两个方面,谈谈你的认识.

(2)小宇和小强分别对共享经济中的“共享出行”和“共享知识”最感兴趣,他们上网查阅了相关资料,顺便收集到四个共享经济领域的图标,并将其制成编号为A,B,C,D的四张卡片(除编号和内容外,其余完全相同).他们将这四张卡片背面朝上,洗匀放好,从中随机抽取一张(不放回),再从中随机抽取一张.请用列表或画树状图的方法求抽到的两张卡片恰好是“共享出行”和“共享知识”的概率(这四张卡片分别用它们的编号A,B,C,D表示).

查看答案和解析>>

同步练习册答案