相关习题
 0  301930  301938  301944  301948  301954  301956  301960  301966  301968  301974  301980  301984  301986  301990  301996  301998  302004  302008  302010  302014  302016  302020  302022  302024  302025  302026  302028  302029  302030  302032  302034  302038  302040  302044  302046  302050  302056  302058  302064  302068  302070  302074  302080  302086  302088  302094  302098  302100  302106  302110  302116  302124  366461 

科目: 来源:2017届江苏省九年级下学期自主检测一数学试卷(解析版) 题型:解答题

如图,某校综合实践活动小组的同学欲测量公园内一棵树的高度,他们在这棵树正前方一座楼亭前的台阶上点处测得树顶端的仰角为,朝着这棵树的方向走到台阶下的点处,测得树顶端的仰角为.已知点的高度,台阶的倾斜角∠ACB为30°,且三点在同一条直线上.请根据以上条件求出树的高度(测倾器的高度忽略不计).

查看答案和解析>>

科目: 来源:2017届江苏省九年级下学期自主检测一数学试卷(解析版) 题型:判断题

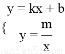
如图,一次函数y=kx+b与反比例函数y=的图象交开A(﹣2,1),B(1,a)两点.

(1)分别求出反比例函数与一次函数的关系式;

(2)观察图象,直接写出关于x,y的方程组的解.

查看答案和解析>>

科目: 来源:2017届江苏省九年级下学期自主检测一数学试卷(解析版) 题型:解答题

如图,己知是⊙的直径,且,点在半径上(点与点、点不重合),过点的垂线交⊙于点. 连接,过点的平行线交⊙于点,交的延长线于点.

(1)若点是弧BC的中点,求的度数;

(2)求证: ;

(3)设,则当为何值时的值最大? 最大值是多少?

查看答案和解析>>

科目: 来源:2017届江苏省九年级下学期自主检测一数学试卷(解析版) 题型:判断题

如图①,已知矩形ABCD中,AB=60cm,BC=90cm.点P从点A出发,以3cm/s的速度沿AB运动:同时,点Q从点B出发,以20cm/s的速度沿BC运动.当点Q到达点C时,P、Q两点同时停止运动.设点P、Q运动的时间为t(s).

(1)当t=  s时,△BPQ为等腰三角形;(2)当BD平分PQ时,求t的值;(3)如图②,将△BPQ沿PQ折叠,点B的对应点为E,PE、QE分别与AD交于点F、G.

探索:是否存在实数t,使得AF=EF?如果存在,求出t的值:如果不存在,说明理由.

查看答案和解析>>

科目: 来源:2017届江苏省九年级下学期自主检测一数学试卷(解析版) 题型:解答题

如图①已知抛物线的图像与轴交于两点(的左侧),与的正半轴交于点,连结,二次函数的对称轴与轴的交点.

(1)抛物线的对称轴与轴的交点坐标为 ______,点的坐标为 _______;

(2)若以为圆心的圆与轴和直线都相切,试求出抛物线的解析式;

(3)在(2)的条件下,如图②的正半轴上一点,过点轴的平行线,与直线交于点,与抛物线交于点,连结,将沿翻折, 的对应点为.在图②中探究:是否存在点,使得恰好落在轴上?若存在,请求出的坐标,若不存在,请说明理由.

查看答案和解析>>

科目: 来源:2017届江苏省南通市九年级下学期第一次月考数学试卷(解析版) 题型:单选题

-2016的相反数是( )

A. 2016 B. -2016 C. D. -

查看答案和解析>>

科目: 来源:2017届江苏省南通市九年级下学期第一次月考数学试卷(解析版) 题型:单选题

下列计算正确的是( )

A. B. C. D.

查看答案和解析>>

科目: 来源:2017届江苏省南通市九年级下学期第一次月考数学试卷(解析版) 题型:单选题

今年是我市实现跨越式发展的机遇之年,在新引进的某国家重点项目规划中计划总投入约14 8亿元.14 8亿元用科学记数法表示为( )

A. 元 B. 元 C. 元 D.

查看答案和解析>>

科目: 来源:2017届江苏省南通市九年级下学期第一次月考数学试卷(解析版) 题型:单选题

对甲、乙两同学进行5次100米短跑的测试,计算他们的测试成绩得: =,S2甲=0.25,S2乙=0.026,下列说法正确的是 ( )

A. 甲短跑成绩比乙好 B. 乙短跑成绩比甲好

C. 甲比乙短跑成绩稳定 D. 乙比甲短跑成绩稳定

查看答案和解析>>

科目: 来源:2017届江苏省南通市九年级下学期第一次月考数学试卷(解析版) 题型:单选题

一个长方体的三视图如图所示,若其俯视图为正方形,则这个长方体的高和底面边长分别为( )

A. 2,3 B. 3,2 C. 2, D. 3,

查看答案和解析>>

同步练习册答案