相关习题
 0  301931  301939  301945  301949  301955  301957  301961  301967  301969  301975  301981  301985  301987  301991  301997  301999  302005  302009  302011  302015  302017  302021  302023  302025  302026  302027  302029  302030  302031  302033  302035  302039  302041  302045  302047  302051  302057  302059  302065  302069  302071  302075  302081  302087  302089  302095  302099  302101  302107  302111  302117  302125  366461 

科目: 来源:2017届江苏省九年级下学期自主检测一数学试卷(解析版) 题型:填空题

方程的解是________.

查看答案和解析>>

科目: 来源:2017届江苏省九年级下学期自主检测一数学试卷(解析版) 题型:填空题

,则= _______.

查看答案和解析>>

科目: 来源:2017届江苏省九年级下学期自主检测一数学试卷(解析版) 题型:填空题

将边长为2的正方形如图放置, 为原点.若,则点B的坐标为______.

查看答案和解析>>

科目: 来源:2017届江苏省九年级下学期自主检测一数学试卷(解析版) 题型:填空题

如图,小岛在港口的南偏东45°方向、距离港口81海里处.甲船从出发,沿方向以9海里/h的速度驶向港口;乙船从港口出发,沿南偏西60°方向,以18海里/h的速度驶离港口.现两船同时出发,当甲船在乙船的正东方向时,行驶的时间为_____h.(结果保留根号)

查看答案和解析>>

科目: 来源:2017届江苏省九年级下学期自主检测一数学试卷(解析版) 题型:填空题

如图, 是半⊙的直径,点在半⊙上, =5 cm, =4 cm. 是弧BC上的一个动点,连接,过点,连接.在点移动的过程中, 的最小值为_____.

查看答案和解析>>

科目: 来源:2017届江苏省九年级下学期自主检测一数学试卷(解析版) 题型:解答题

计算:

查看答案和解析>>

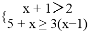
科目: 来源:2017届江苏省九年级下学期自主检测一数学试卷(解析版) 题型:判断题

解不等式组:

查看答案和解析>>

科目: 来源:2017届江苏省九年级下学期自主检测一数学试卷(解析版) 题型:解答题

先化简,再求值: ,其中.

查看答案和解析>>

科目: 来源:2017届江苏省九年级下学期自主检测一数学试卷(解析版) 题型:判断题

购买6件A商品和5件B商品共需270元,购买3件A商品和4件B商品共需180元.问:购买1件A商品和1件B商品共需多少元?

查看答案和解析>>

科目: 来源:2017届江苏省九年级下学期自主检测一数学试卷(解析版) 题型:解答题

为推广阳光体育“大课间”活动,我市某中学决定在学生中开设A:实心球,B:立定跳远,C:跳绳,D:跑步四种活动项目.为了了解学生对四种项目的喜欢情况,随机抽取了部分学生进行调查,并将调查结果绘制成如图①②的统计图.请结合图中的信息解答下列问题:

(1)在这项调查中,共调查了多少名学生?

(2)请计算本项调查中喜欢“立定跳远”的学生人数和所占百分比,并将两个统计图补充完整;

(3)若调查到喜欢“跳绳”的5名学生中有3名男生,2名女生.现从这5名学生中任意抽取2名学生.请用画树状图或列表的方法,求出刚好抽到同性别学生的概率.

查看答案和解析>>

同步练习册答案