相关习题
 0  314545  314553  314559  314563  314569  314571  314575  314581  314583  314589  314595  314599  314601  314605  314611  314613  314619  314623  314625  314629  314631  314635  314637  314639  314640  314641  314643  314644  314645  314647  314649  314653  314655  314659  314661  314665  314671  314673  314679  314683  314685  314689  314695  314701  314703  314709  314713  314715  314721  314725  314731  314739  366461 

科目: 来源:[首发]湖北省鄂州市梁子湖区2016-2017学年八年级6月联考数学试卷 题型:单选题

如图正方形ABCD边长为10,AG=CH=8,BG=DH=6,连接GH,则线段GH的长为(  )

A. B. C. D. 10-5

查看答案和解析>>

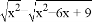
科目: 来源:[首发]湖北省鄂州市梁子湖区2016-2017学年八年级6月联考数学试卷 题型:单选题

如图,由两个长为9,宽为3的全等矩形叠合而得到四边形ABCD,则四边形ABCD面积的最大值是(  )

A. 15 B. 16 C. 19 D. 20

查看答案和解析>>

科目: 来源:[首发]湖北省鄂州市梁子湖区2016-2017学年八年级6月联考数学试卷 题型:单选题

以下条件不能判别四边形ABCD是矩形的是(  )

A. AB=CD,AD=BC,∠A=90° B. OA=OB=OC=OD

C. AB=CD,AB∥CD,AC=BD D. AB=CD,AB∥CD,OA=OC,OB=OD

查看答案和解析>>

科目: 来源:[首发]湖北省鄂州市梁子湖区2016-2017学年八年级6月联考数学试卷 题型:单选题

平行四边形一边的长是10cm,那么这个平行四边形的两条对角线长可以是(  )

A. 4cm,6cm B. 6cm,8cm C. 8cm,12cm D. 20cm,30cm

查看答案和解析>>

科目: 来源:[首发]湖北省鄂州市梁子湖区2016-2017学年八年级6月联考数学试卷 题型:单选题

如图,一只蚂蚁以均匀的速度沿台阶爬行,那么蚂蚁爬行的高度随时间变化的图象大致是(  )

A. B. C. D.

查看答案和解析>>

科目: 来源:[首发]湖北省鄂州市梁子湖区2016-2017学年八年级6月联考数学试卷 题型:单选题

直线y=kx+b过点(2,2)且与直线y=-3x相交于点(1,a),则两直线与x轴所围成的面积为( )

A. 2 B. 2.4 C. 3 D. 4.8

查看答案和解析>>

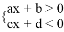
科目: 来源:[首发]湖北省鄂州市梁子湖区2016-2017学年八年级6月联考数学试卷 题型:单选题

观察图,可以得出不等式组的解集是(  )

A. x<4 B. x<-1 C. -1<x<0 D. -1<x<4

查看答案和解析>>

科目: 来源:[首发]湖北省鄂州市梁子湖区2016-2017学年八年级6月联考数学试卷 题型:填空题

已知0≤x≤3,化简= ______ .

查看答案和解析>>

科目: 来源:[首发]湖北省鄂州市梁子湖区2016-2017学年八年级6月联考数学试卷 题型:填空题

根号外的因式移入根号内的结果是

查看答案和解析>>

科目: 来源:[首发]湖北省鄂州市梁子湖区2016-2017学年八年级6月联考数学试卷 题型:填空题

如图,梯形ABCD中,AB∥DC,∠ADC+∠BCD=90°,且DC=2AB,分别以DA,AB,BC为边向梯形外作正方形,其面积分别为S1,S2,S3,则S1,S2,S3之间的关系是 ____________.

查看答案和解析>>

同步练习册答案