相关习题
 0  314548  314556  314562  314566  314572  314574  314578  314584  314586  314592  314598  314602  314604  314608  314614  314616  314622  314626  314628  314632  314634  314638  314640  314642  314643  314644  314646  314647  314648  314650  314652  314656  314658  314662  314664  314668  314674  314676  314682  314686  314688  314692  314698  314704  314706  314712  314716  314718  314724  314728  314734  314742  366461 

科目: 来源:江苏省淮安市2017年九年级中考模拟数学试卷(含答案) 题型:解答题

如图1,正方形 ABCD中,点A、B的坐标分别为(0,10),(8,4),点C在第一象限.动点P在正方形ABCD的边上,从点A出发沿A→B→C→D匀速运动,同时动点Q以相同速度在x轴上运动,当P点到D点时,两点同时停止运动,设运动的时间为t秒.

(1)当P点在边AB上运动时,点Q的横坐标(长度单位)关于运动时间t(秒)的函数图象如图2所示,请写出点Q开始运动时的坐标及点P运动速度;

(2)求正方形边长及顶点C的坐标;

(3)在(1)中当t为何值时,△OPQ的面积最大,并求此时P点的坐标.

(4)如果点P、Q保持原速度速度不变,当点P沿A→B→C→D匀速运动时,OP与PQ能否相等,若能,写出所有符合条件的t的值;若不能,请说明理由.

查看答案和解析>>

科目: 来源:[中学联盟]江苏省如皋市白蒲镇初级中学2016-2017学年八年级下学期期中考试数学试卷 题型:单选题

如图在□ABCD中,AD=4cm,AB=2cm,则□ABCD的周长等于(  )

A. 12cm B. 8cm C. 6cm D. 4cm

查看答案和解析>>

科目: 来源:[中学联盟]江苏省如皋市白蒲镇初级中学2016-2017学年八年级下学期期中考试数学试卷 题型:单选题

如图,□ABCD中,对角线AC、BD交于点O,点E是BC的中点.若OE=3cm,则AB的长为(  )

A. 3cm B. 6cm C. 9cm D. 12cm

查看答案和解析>>

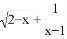
科目: 来源:[中学联盟]江苏省如皋市白蒲镇初级中学2016-2017学年八年级下学期期中考试数学试卷 题型:单选题

函数y=中自变量x的取值范围是(  )

A. x≤2 B. x≤2且x≠1 C. x<2且x≠1 D. x≠1

查看答案和解析>>

科目: 来源:[中学联盟]江苏省如皋市白蒲镇初级中学2016-2017学年八年级下学期期中考试数学试卷 题型:单选题

如图,已知四边形ABCD是平行四边形,下列结论中不正确的是(  )

A. 当AB=BC时,它是菱形 B. 当AC⊥BD时,它是菱形

C. 当∠ABC=90°时,它是矩形 D. 当AC=BD时,它是正方形

查看答案和解析>>

科目: 来源:[中学联盟]江苏省如皋市白蒲镇初级中学2016-2017学年八年级下学期期中考试数学试卷 题型:单选题

在一次射击训练中,甲、乙两人各射击10次,两人10次射击成绩的平均数均是9.1环,方差分别是S甲2=1.2,S乙2=1.6,则关于甲、乙两人在这次射击训练中成绩稳定的描述正确的是(  )

A. 甲比乙稳定 B. 乙比甲稳定 C. 甲和乙一样稳定 D. 甲、乙稳定性没法对比

查看答案和解析>>

科目: 来源:[中学联盟]江苏省如皋市白蒲镇初级中学2016-2017学年八年级下学期期中考试数学试卷 题型:单选题

设正比例函数y=mx的图象经过点A(m,4),且y的值随x值的增大而减小,则m=(  )

A. 2 B. ﹣2 C. 4 D. ﹣4

查看答案和解析>>

科目: 来源:[中学联盟]江苏省如皋市白蒲镇初级中学2016-2017学年八年级下学期期中考试数学试卷 题型:单选题

关于函数y=﹣2x+1,下列结论正确的是(  )

A. 图象必经过点(﹣2,1) B. 图象经过第一、二、三象限

C. 当x>时,y<0 D. y随x的增大而增大

查看答案和解析>>

科目: 来源:[中学联盟]江苏省如皋市白蒲镇初级中学2016-2017学年八年级下学期期中考试数学试卷 题型:单选题

某小组5名同学在一周内参加家务劳动的时间如下表所示,关于“劳动时间”的这组数据,以下说法正确的是( )

A. 中位数是4,平均数是3.75 B. 众数是4,平均数是3.75

C. 中位数是4,平均数是3.8 D. 众数是4,平均数是3.8

查看答案和解析>>

科目: 来源:[中学联盟]江苏省如皋市白蒲镇初级中学2016-2017学年八年级下学期期中考试数学试卷 题型:单选题

如图,是一张平行四边形纸片ABCD,要求利用所学知识将它变成一个菱形,甲、乙两位同学的作法分别如下:对于甲、乙两人的作法,可判断(  )

A. 甲、乙均正确 B. 甲、乙均错误 C. 甲正确,乙错误 D. 甲错误,乙正确

查看答案和解析>>

同步练习册答案